己二酸跌跌不休为哪般_凯茵工业添加剂
己二酸市场自3月开启下跌以来,直到现在4月下旬,下跌之路仍难以止步,截止目前,以华东市场为例,已经下跌3400元/吨,跌幅在24.63%,其下跌幅度之大,持续时间之长,着实让业者堪忧。未来趋势如何,…
己二酸二辛酯(doa)_凯茵工业添加剂
【背景及概述】[1][2][3] 增塑剂,又称塑化剂,是一种高分子材料助剂,加入到塑料中可增加塑料的可塑性、膨胀性或柔朝性。己二酸二辛酯作为一种性能优良的耐寒增塑剂,近年来,越来越受到加工行业及塑料…
二亚胺代己二酸二甲酯二盐酸盐的应用_凯茵工业添加剂
背景及概述[1] edci(二亚胺代己二酸二甲酯二盐酸盐)是个可溶于水的碳二亚胺,在酰胺合成中用作羧基的活化试剂,也用于活化磷酸酯基团、蛋白质与核酸的交联和免疫偶连物的制取。使用时的ph范围为4.0…
1,3-环己二酸二甲酯的应用_凯茵工业添加剂
背景及概述[1] 1,3-环己二酸二甲酯可用作医药合成中间体和有机合成中间体,主要用于实验室研发过程和化工医药合成过程中。如果吸入1,3-环己二酸二甲酯,请将患者移到新鲜空气处;如果皮肤接触,应脱去…
己二酸的制备与用途_凯茵工业添加剂
己二酸又称肥酸,是一种羧酸类有机化合物。它是白色结晶粉末,微溶于水,溶于水中时呈酸性。己二酸作为多种化工产品的基本组成单元,是迄今为止工业生产中重要的脂肪族二元羧酸,在全球范围内每年约有300万吨己…
己二酸合成工艺的前世今生_凯茵工业添加剂
己二酸作为多种化工产品的基本组成单元,是迄今为止工业生产中重要的脂肪族二元羧酸[1],在全球范围内每年约有300万吨己二酸用于合成尼龙-66的单体,另外己二酸也是合成聚酯、聚氨酯、润滑剂、增塑剂、己…
己二酸_凯茵工业添加剂
己二酸亦称“肥酸”。化学式hooc(ch2)4cooh。分子量146.14。 存在于甜菜汁中。白色结晶或结晶性粉末,无臭,味酸,酸味柔和。熔点152℃,沸点330.5℃,自燃温度420℃, 能升华,…
对氯乙烯的制备_凯茵工业添加剂
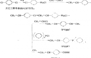
背景 对氯乙烯又叫4-氯乙烯,对氯乙烯 (简称为pcst ),是有机合成和医药研发的中间体,可用于制塑料和橡胶。 结构 用途[1] 用于反应中间体和主脂改性剂,其衍生物用途广泛,如对二乙烯基、对乙…
对异丁基乙烯的应用_凯茵工业添加剂
背景及概述[1][2] 对异丁基乙烯,又叫4-对异丁基乙烯,是合成布洛芬过程中的一种杂质。烯烃是有机化学中相当重要一类的合成中间体,通过烯烃的反应可以方便地引入 各类其他基团,如通过加成反应制备卤代…
1,2-二(4-溴)-1,2-二乙烯的应用_凯茵工业添加剂
背景及概述[1] 1,2-二(4-溴)-1,2-二乙烯可用于制备一类可加工的性能优异的有机小分子材料。 制备[1] 将4-溴-二甲酮、zn粉、干燥的四氢呋喃置于双颈圆底烧瓶中,在-78℃的低温反 应…



