【背景及概述】[1][2]
随着氯霉素在食品动物中被禁止使用后,氟洛芬受到了重视,又名氟尼考,氟甲砜霉素,英文名为florfenicol,其化学名称是d-苏式 -1-[4-(甲砜基)基]-2-(二氯-乙酰胺)-3-氟-1-丙醇,是一种化学合成的氯霉素类广谱抗 菌药物。它是动物的专用药,其毒性低、对环境污染小。另外一些对氯霉素和甲砜霉素产生耐药性的菌株对氟洛芬仍然很敏感。
氟洛芬在动物体内分布比较广泛,尤其在肾和肺脏内的浓度比较高,可以比较理想的防治畜禽呼吸道和泌尿道感染。氟洛芬的临床使用范围很广,可以用于家畜、家禽和鱼类细菌性感染;猪的胸膜肺炎、黄痢、白痢;鸡的大肠杆菌病、巴氏杆菌病,还用于治疗羊乳腺炎,对革兰氏阳性菌的小抑菌浓度为>3.12mg/ml;而对革兰氏阴性菌而言,则需要更高的药物浓度。
另外,氟洛芬还可用于治疗鸡、鸭细菌性疾病等,都有良好的治疗效果。氟洛芬由于其广谱、高效的特性而广泛使用于兽因临床。然而由于临床使用不当,其耐药菌株的发生率逐年上升,近几年氟洛芬在不少菌群中出现的耐药性问题已引起了人们的高度重视,相关的研究报道也不断出现。用药时要严格按照规定,不得滥用以免产生耐药性。
【应用】[1]
1. 对鱼疾病的作用
氟洛芬早应用于水产养殖业,日本用于治疗黄尾鲥鱼的假结核性巴氏杆菌病及链球菌病,效果显著,累积死亡率显著低于非治疗对照组分离出的细菌对氟洛芬较敏感,但对氯霉素、土霉素等药物有耐药性。据报道,氟洛芬在治疗剂量时对鱼淋巴细胞的有丝分裂具有抑制作用。还有报道表明,氟洛芬在40 g/ml时能降低鱼t、b淋巴细胞的增殖,但正常剂量时没有影响。
2. 对鸡疾病的作用
氟洛芬静注后在鸡体内分布快,消除也快。消除半衰期(tl/2 b)为180.80min,分布半衰期(tl/2 d)为41.48min。鸡肌注氟洛芬后,吸收迅速,吸收半衰期(tl/2ka)为11.97min,血药峰浓度(cmax)6.79±1.38 g/ml,f为94.53%。表明肌注给药后,氟洛芬在鸡体内几乎完全吸收。人工感染大肠杆菌肉鸡以30 mg/kg单剂量给予氟洛芬,研究发现静注给药后,氟洛芬在感染鸡体内的tl/2 b为(1 18.91±14.17)rain,比健康鸡的tl/2 13(161.02±27.31)rain稍有下降;内服氟洛芬后,tl/2ka为(25.49±14.04)min,tl/2ke为(104.31±14.55)rain,tmax 为(65.91±26.24)min,cmax为(7.90±3.00)mg/l,auc(29.01±6.59)mg/(l·h)。说明内服给药后,氟洛芬在感染鸡体内具有吸收迅速、消除较快及血药浓度较高等特点。
毕聪明等用氟洛芬长效制剂治疗鸡大肠杆菌病的疗效试验结果表明,氟洛芬长效制剂治愈率和有效率均显著高于感染对照组和丁胺卡那霉素素对照组。张永强等利用氟洛芬粉剂治疗鸡金黄色葡萄球菌病,试验结果表明,氟洛芬对鸡金黄色葡萄球菌感染治疗有明显疗效,尤其是对耐甲砜霉素的金黄色葡萄球菌感染仍可选择氟洛芬。
3. 对猪疾病的作用
氟洛芬在治疗链球菌病和胸膜肺炎的效果比较显著,用氟洛芬防治猪传染性胸膜肺炎与链球菌混合感染的猪,治疗有临床症状患猪的有效率为98.5%。母猪在产前1周和产后1周,在每吨饲料中添加2%氟洛芬1000~1500g+泰乐菌素200~250g,可抑制或清除母猪体内猪肺炎支原体的繁殖,降低排菌率,减轻对产房的污染,可防止哺乳仔猪的感染。
【不良反应】[1]
氟洛芬具有毒性低、对环境污染小、不引起动物再生障碍性贫血等特点,没有致畸、致癌和致突变作用。据不完全统计,氯霉素引起再生障碍性贫血的发生几率为二万分之一至十万分之一。甲砜霉素分子结构中用甲砜基取代了氯霉素芳香环上的硝基,而不表现再生障碍性贫血。氟洛芬是甲砜霉素的衍生物,分子结构中没有硝基,所以不引起再生障碍性贫血,使用安全。但氟洛芬的繁殖毒性试验表明,该药具有胚胎毒性,能使fl代雄鼠附皋重量明显减轻,从而使f2代幼仔的哺乳指标和存活率均降低,因此建议妊娠动物禁用,家禽在产蛋期间应禁止使用。
【配伍禁忌】[1]
氟洛芬不宜与大环内酯类、林可胺类及双萜类半合成抗生素联用,合用时可产生拮抗作用。氟洛芬不可与p一内酯胺类及氟喹诺酮类联合用药,因本品是抑制细菌蛋白质合成的速效抑菌剂,后者属繁殖期速效杀菌剂。在前者作用下,细菌蛋白质合成迅速被抑制,细菌停止生长繁殖,使后者的杀菌作用减弱。故在治疗需要发挥快速杀菌作用的
【注意事项】[5]
用本品所配成的制剂可按任意比例与水互溶。所配溶液好在48h内用完。如遇低温,发现溶解速度较慢;或已配好的溶液有氟洛芬沉淀析出,只需略微加温(不超过45%),即可全部快速溶解。本品只能作溶剂使用,制作针剂所需的其他程序不可省略。口服专用溶剂为淡黄色透明液体,大可溶氟洛芬15%,建议控制在10%以下。使用时,根据所需达到的浓度,称取一定量的氟洛芬,加入相对应数量的溶剂,充分搅拌均匀,即可溶解。
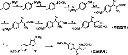
【制备】[3]
国内企业生产甲砜霉素大多采用对甲砜甲醛路线,而氟甲砜霉素一般从中间体 甲砜霉素合成:

其中a)naso3,nahco3;b)ch3so3na;c)br2;d)nh2ch2cooh,cuso4, nh4oh;e)etoh,h2so4;f)拆分;g)nabh4;h)二氯乙腈,,氨饱 和的乙丙醇,80℃,2h;i)fpa,thf,100℃,2h;j)钾,甲醇,乙丙醇,水,10 h,ph 3.5-4.0。
【主要参考资料】
[1] 刘艳平. 浅谈氟洛芬在临床上的应用[j]. 畜牧兽医科技信息, 2013 (9): 127-128.
[2] 氟洛芬静注及肌注存鸡体内药代动力学研究
[3] 任洪强;丁丽丽;辛秉清;杨竹莜.氟洛芬生产废水的处理方法. cn200610097421.6,申请日2006–11–07



