【概述】[1]
腰果酚是以天然腰果壳油为原料, 经先进技术提炼精制而成的, 属于绿色环保的工业原料。因其价格低廉、 来源丰富、 性能优异,具有可再生性,成为近年来的研究热点,在涂料、 胶黏剂、 层压树脂及抗摩擦材料等领域具有广泛的应用。腰果酚的结构式如下所示,既有芳香族化合物的特征,又有脂肪族化合物的特征,同时环上的酚羟基使其具有酚类化合物的性质。

腰果酚表面活性剂具有优良的生物降解性, 被称为绿色表面活性剂或生物质表面活性剂, 有望取代石油酚类表面活性剂。近几年, 腰果酚得到国内外学者的深入研究,以其作为亲油基制备表面活性剂获得了不错的成果。
1 阴离子表面活性剂
1. 1 腰果酚磺酸盐
peungjitton 等以腰果壳液为原料, 制备了腰果酚磺酸盐表面活性剂, 合成路线如下。并对其表面活性进行了测定, 且与las进行了对比。结果显示, 当腰果酚磺酸盐和 las 的质量分数均为 20% 时, 其溶液的表面张力分别为32. 25 和28.00 mn /m;cmc 分别为0. 372 和 0.435mmol /l。通过对比可以发现, 腰果酚磺酸盐具有良好的表面活性, 为其替代传统石油基表面活性剂提供了依据。

1. 2 腰果酚盐
bruce 等以腰果酚为原料,甲醇为溶剂, 与乙烯酯反应合成了腰果酚聚氧乙烯醚酯盐, 产率达到78% ,合成路线如下。

全春生等以腰果酚聚氧乙烯醚为原料制备了 腰果酚聚氧乙烯醚酯铵盐。该法具有设备简单,产品质量优良,无三废污染等优点。周雅文等对腰果酚聚氧乙烯醚铵的乳化性能及泡沫性能进行了研究。通过实验得出腰果酚聚氧乙烯醚铵 /正丁醇 /烷烃 /水拟三元相图能形成液晶区和大范围 o /w 微乳液区, 乳化性能在质量分数为 0. 025% 的硬水中较强;腰果酚聚氧乙烯醚铵具有低的起泡性。
1. 3 腰果酚羧酸盐
scorzza 等以腰果酚为原料,制备了腰果酚羧酸盐表面活性剂,具体合成路线如下。产物腰果酚羧酸钠产率为41.5% 。该羧酸盐表面活性剂具有较强的亲水性,具有较好的表面活性和较低的临界胶束浓度。

腰果酚羧酸盐结构上的多样性, 使其性能具有可调性,根据不同的应用特点,设计不同的结构。
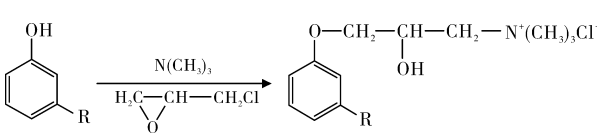
2 阳离子表面活性剂
王俊等以腰果酚、 环氧氯丙烷和三甲胺为原料,制备了一种新型腰果酚阳离子表面活性剂,产率达到 56% ,其中季铵盐含量为80% ,合成路线如下。该阳离子表面活性剂的 cmc 和γcmc分别为4. 83 mmol /l和28. 62 mn /m,表现出良好的表面活性。

3 非离子表面活性剂
腰果酚聚氧乙烯醚是新一代温和安全、 绿色天然和环境友好型的非离子表面活性剂, 与阴离子表面活性剂复配有很好的协同增效作用,具有优良的润湿、 渗透、 乳化、 分散和去污等性能,生物降解迅速彻底,可广泛用于各种洗涤剂及个人洗护用品中。徐晓敏对腰果酚聚氧乙烯醚与脂肪醇聚氧乙烯醚(jfc) 复配后 的应用性能进行了研究, 当腰果酚聚氧乙烯醚与jfc 以质量比 2∶3进行复配时,可达到较好的金属清洗效果。
4 两性表面活性剂
吴美云等 以腰果酚和环氧氯丙烷为原料, 四丁基溴化铵为催化剂合成中间体腰果酚氯醇醚,继而与二甲胺经胺化合成腰果酚叔胺, 产物再与 3-氯-2-羟基丙磺酸钠进行终反应,制得腰果酚甜菜碱型两性表面活性剂。通过实验测得, 腰果酚甜菜碱的cmc 为 3. 17×10-4 mol /l, γcmc为32. 86 mn /m。该表面活性剂在 0. 5~3. 0 g /l 范围内可有效降低油 /水界面张力(可至 10-4~10-3 mn /m);与聚丙烯酰胺可产生协同作用,将油/水界面张力降至 10-6~10-4 mn /m;在表面活性剂质量浓度为 0. 5~2.5g/l 时, 聚合物 /表面活性剂二元体系的分水时间为 200~1200 s, 远高于单一表面活性剂的 36 s,二元体系乳化性能优良,对降低驱油成本和开采滞留原油具有重要意义。邢欣欣对合成的腰果酚甜菜碱型表面活性剂(c15sb-ⅰ和 c15sb-ⅱ) 的界面性能进行了研究,结果表明:c15sb-ⅰ和 c15sb-ⅱ在 0. 3~0. 5 g /l时,能降低吐哈和沙特油水体系的界面张力至超低值(小于 10-3 mn /m);c15sb-ⅰ具有优异的耐温性能,在 100 ℃ 时,可使吐哈和沙特油水体系的动态界面张力平衡值分别达到 4. 67×10-3 和 1. 23×10 – 3 mn /m;c15sb-ⅰ溶液在矿化度为 80~270 g /l、 钙镁离子总质量浓度为5~19 g /l 范围内, 可降低吐哈油水体系的界面张力并保持超低值;沙特油水体系在矿化度为50 ~ 200 g /l、 钙镁离子总质量浓度为 5 ~ 23 g /l 范围内,界面张力维持在超低水平,体现出了十分优异的抗盐及抗钙镁能力。
中国科学院理化技术研究所申请的专利以饱和腰果酚短链醇溶液和二烷基胺反应制备饱和腰果酚二烷基胺,然后与氯钠或 3-氯-2-羟基丙磺酸钠反应制备饱和腰果酚甜菜碱。
【应用及发展前景】[1]
作为一种长链烃基的天然酚类物质, 腰果酚在表面活性剂领域具有广泛应用前景, 已引起了众多学者的高度关注。腰果酚表面活性剂作为一类生物质表面活性剂,具有优良的乳化、 去污等性能,且具有低毒、 可生物降解等优良特性。在环境保护、 能源短缺的前提下,开发腰果酚表面活性剂将具有更深远的意义。
【参考资料】
[1]葛赞,史立文,代永昌,华文高,刘荣.腰果酚表面活性剂的合成研究进展[j].日用化学工业,2017,47(11):645-650.



