【概述】[1]
联二酚是一种重要的有机中间体, 可以用作橡 胶防老剂和塑料抗氧剂,可用于无色硫化橡胶制品、食品包装用橡胶制品及医用乳胶制品, 也用于氯化硫冷硫化制品(如医用手套、避孕套)等。 在合成高聚物方面, 由于其耐热性极佳, 故可作为聚酯、 聚氨酯、 聚碳酸酯、聚砜及环氧树脂等的改性单体,用以制造优良的工程塑料和复合材料等, 目前其高纯度产品主要用于合成液晶聚合物。性质: 白色针状或片状结晶。熔点286℃ (274~275℃), 相对密度1.22。 易溶于、 乙醇、 、丙酮和氢氧化钠,微溶于和氯甲烷,不溶于汽油、四氯化碳和水。
【制备方法】[1]
1 联胺法
联胺经重氮化、 水解而得, 其反应式如下:

工艺过程为: 将联胺溶解于介质中, 生成联胺盐, 再用亚硝酸钠重氮化得重氮液, 将其在稀介质中沸腾水解, 即析出4, 4,–联二酚; 再经过滤、 洗涤、 干燥后, 用升华精制而得成品。
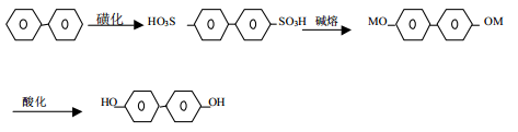
2 联磺化碱熔法
联经过磺化、 碱熔、 酸化而得, 其反应式如下:

3 2,6-二叔丁基酚氧化偶联、 还原脱烷基法
采用2,6- 二叔丁基酚为原料。 通过氧化、 还原和脱异丁烯三步工艺合成出产品, 其产品纯度达到电子级别(>99.5%)。反应流程图:

制备实例: 将 2, 6- 二叔丁基酚 200g(0.968mol)和50%氢氧化钾水溶液2g的混合物加入带有搅拌器的调节温度器的高压釜中。 加热到180℃左右,加入氧气至内压达0.71mpa。 在此期间以460r/min速度进行搅拌。 初期稍放热, 温度上升到 200℃左右, 并氧压急剧下降至0.53mpa。 在35min 反应时间内, 数次压入氧气, 使内压达到0.71mpa。 经反应35min 后, 反应器内部用氮气清洗, 产物经色谱分析, 取代酚约为75% 转化为二聚物。 然后, 该反应物的温度上升到 300℃, 蒸馏除去未反应的2, 6-二叔丁基酚。 随着脱烷基反应的进行, 温度上升至320℃, 除去副产物异丁烯。 反应4h 后, 在真空下蒸馏4, 4,–联二酚, 得到雪白色产品, 其品质优良。
采用2, 6- 二叔丁基酚为原料, 经过氧化、 还原和脱异丁烯三步工艺合成出产品, 避免了运用4,4 ,–二氨基联为原料的有毒化合物,“三废” 严重, 产品品质差等许多致命弱点。 此法工艺条件简单,技术水平提高,产品品质优无致癌化合物生产,产品品质高, 是国外正处于研发的新技术。
4 联卤化水解法
联经过卤代、 水解而得, 其反应式如下:

联经过溴化反应生成4, 4, – 二溴联, 与氢氧化钠, 催化剂的作用下在300℃温度80kg/cm2的压力条件下, 水解生成 4 ,4 ,- 联二酚。
【应用及发展前景】
我国4, 4,-联二酚的合成研究始于1980 年代,主要用作塑料抗氧化剂,大连理工大学、厦门大学等单位先后投入大量的精力进行该产品合成工艺的研究,主要采用联二磺化路线,并先后建设了几条生产线,主要生产企业有苏州市畅通化学品有限公司、武进临川化工厂、 吴县龙盛精细化工厂等, 总生产能力1500t/a, 实际产量在1000t/a以下。国外早在 1970 年代已经开始着手4, 4, – 联二酚应用于液晶材料的研究, 我国1990年代也投入一定的精力进行相关液晶聚合物的研究, 现在国内的石家庄、 烟台、 西安等地都有相关的液晶聚合物产品投放市场。 但是由于合成技术的限制, 特别是产品4,4, – 联二酚含量较低, 一直无法满足国内外市场的需求。
2001 年开始,日本等几家国外大公司向我国提出了数千吨高纯度液晶材料中间体4, 4’- 联二酚的市场需求, 激起了国内开发的热潮, 南京师范大学、 浙江大学、 江苏省锡山市化工研究所、 青岛科技大学等大专院校先后投入大量的人力、 物力进行高纯度4, 4’ – 联二酚的研制与开发工作, 并先后在北京杨村、 浙江舟山、 河南新乡、山东淄博、江苏南京、 无锡等地建立了生产装置。 但是由于技术、 生产、 环保等各方面的原因,目前国内高纯度4, 4’ – 联二酚的生产能力一直很低, 处于供不应求状态。
4, 4, – 联酚是一种市场前景看好的精细化工产品,目前从国内外的市场情况分析:该产品在橡胶防老剂行业的应用已不占主导地位,主要应用于液晶高分子(lcp)的合成液晶聚合物(lcp)是近几年发展快的高性能全新结构的特种工程塑料, 是一种高性能材料,具有极其优越的综合性能。 自1995年全球lcp的需求量超过一万吨,美国、日本、西欧是全球重要的lcp 消费市场, lcp具有(1)加工性良好(2)具有自我补强性(3)耐热性极佳(4)线膨胀系数小(5)电气性质优越(6)而化学药品性等卓越的物性及化性,因此被广泛应用于电子零件、精密机械零件,家电产品配件,医疗器材、汽车零组件及化工设备零件等领域。
具有高耐热、高刚性、薄壁流动性和低膨胀性之优点的lcp是研究与开发的热点,以联二酚为原料开发的系列液晶高分子就具有这个特点。如:以4,4'-联二酚,4-硝基胺和二溴己烷等为原料合成了单体甲基丙烯酸[5-(4'-甲氧基联-4-氧基)戊基]酯(m5mpp),4-硝基偶氮基甲基-2-甲基丙烯酸酯基乙胺(mmeanb),单体进行的聚合和共聚,得到了含有非线性光学(nlo)活性基团的侧链液晶高分子,由于分子间吸电子与给电子基团相互作用有利于提高液晶高分子热稳定性,共聚物(m5mpp/mmeanb)具有较宽的液晶相温度范围。
由于以联二酚为原料合成液晶高聚物特有的属性,使该类液晶聚合物的市场得到了快速的发展,自1972年以该产品为原料的液晶聚合物问世以来,以较快的速度发展,特别是近几年,伴随着电脑、平板电视技术的进步和各类电子器材技术的发展,为该产品提供了巨大的市场发展空间,据保守估计:目前世界液晶材料生产业对高纯度联二酚的需求量已经超过 7000t。
我国在液晶材料生产方面才刚刚起步, 但是发展速度很快, 1987 年, 清华大学化学系液晶的研究成果在石家庄开始批量生产, 并供应给lcd 厂, 这个现名为石家庄永生华清的公司目前仍是国内品种多、产量大的液晶材料厂。 清华亚王液晶材料公司也可以批量生产tn液晶和中低档的stn液晶材料。 石家庄永生华清与清华亚王的中低档液晶材料市场份额在中国内地已占到市场的70%以上, 低档tn占到了80%以上, 并有单体提供给日本、 德国的其他液晶材料公司。
除这二家之外, 西安瑞联公司也在从事液晶材料的研发和生产, 但以液晶单体为主, 配有部分混合液晶生产。 另外还有江苏、 烟台等多家企业在从事液晶材料的单体和中间体的开发和生产,目前国内的石家庄、 烟台、 西安等地已经开始使用4, 4, – 联二酚为原料生产液晶聚合物, 年需求量在100t左右, 因此目前该产品的市场主要在于出口。
【参考资料】
[1]杨山跃,赵美法.重要的液晶中间体—联二酚[j].化工科技市场,2005(12):33-35.



