【概述】
间二酚又名1,3-二酚、间二羟基,俗称雷锁辛,是一种重要的精细化工原料。间二酚易发生加氢、卤化、胺化、酰化、偶合、烷基化、硝化和磺化等反应,使得其在农业、染料、涂料、医药、塑料、橡胶、电子化学品等领域具有广泛的应用。间二酚是一种基本有机化工中间体,广泛应用于农业、医药、胶粘剂等。在医药上,间二酚具有杀菌作用,还可以用来制取肠道消毒剂、皮肤病药物;在农业上,间二酚制取农用薄膜及杀虫剂、除草剂等;在染料上,间二酚用来合成荧光染料、酸性曙红;在胶粘剂上,间二酚用来生产间二酚一甲醛树脂、特种热固木材胶粘剂,用于高级家具的胶粘,这也是目前使用量增长较快的行业;另外,间二酚还可用于生产炸药、液晶聚合物、紫外线吸收剂等。
【理化性质】
外观为白色针状结晶,具有微弱的芳香气味,略带甜味和苦味,密度为1.272g ml,沸点281℃ ,熔点110.7℃ ,闪点127.1℃(闭杯)。在高温下能升华,可燃,溶于水、乙醇、、甘油和戊醇,难溶于氯仿和四氯化碳。间二酚是一种二元弱酸,可与碱反应生成单酚盐和双酚盐。间二酚呈弱酸性 但酸性强于碳酸 长期曝露在阳光与空气中容易逐渐变成浅红色。 间二酚比酚更容易被氧化,但被氧或过碘酸氧化的速度远比邻二酚和对二酚低。间二酚易发生加氢、卤化、胺化、酰化、偶合、烷基化、硝化和磺化等反应。
【制备方法】
1.磺化法 间二酚磺化法的典型生产工艺是: 在发烟中磺化生成磺酸,并进一步磺化生成间二磺酸,生成的间二磺酸混合物,用naoh碱熔,生成间二酚钠,间二酚钠用酸中和得间二酚。

图1为间二酚磺化法的反应方程式
2.异丙法 异丙法合成间二酚分三步进行: 1)的烷基化,即
![]()
图2为的烷基化的反应方程式 2)异丙的氧化
![]()
图3为异丙的氧化的反应方程式 3)过氧化物的酸解
![]()
图4为过氧化物的酸解的反应方程式
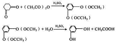
该法一般是把烷基化产物提纯后以纯间二异丙为原料进行氧化,也有在未提纯的条件下以对、间位的混合物为原料进行。这时,其裂解后的产物为醌和间二酚的混合物,必须进一步分离。间二酚和醌的分离一般首先使用结晶法,结晶使用有机溶剂如丙腈、甲醇、、醚类,等,滤饼为醌。间二酚在滤液中,经过多次重结晶后,所得到的滤饼为很纯的醌,滤液中的间二酚的纯度不够,还可以进一步来用水蒸气蒸馏的方法提纯。 3.芳化法 芳化法是采用环已二酮一l,3通过脱氢而制得间二酚的,有两种制备方法。其一是以环已二酮一1,3与醋酐在催化下制得间二酚二酯然后水解而成,其反应式如下:

图5为芳化法的反应方程式
(1) 另一种方法是环已二酮一1,3在pd等脱氢催化剂的存在下,在170℃以上的高温条件下直接脱氢而制成的。

图6为芳化法的反应方程式
(2) 4.基团取代法 (1)氮的取代 以邻氯酚为原料,在邻二氯中以koh羟化,在170℃下反应。此条件下,反应生成邻二酚并部分重排生成间二酚,反应产物中含57.5%的间二酚,36%的邻二酚。

图7为氮的取代法的反应方程式
(2)氮基的取代 以间二胺为原料,通过经基取代制备间二胺,其反应式为:

图8为氮基的取代法的反应方程式
【用途】
间二酚是一种重要的有机化工产品和合成中间体,其用途广泛。在轮胎、胶管及胶带中,使用间二酚-甲醛树脂(rf树脂)浸渍人造丝及聚酰胺纤维帘子线,可增加帘子线与橡胶之间的粘合作用。rf树脂在室温及中性条件下即可固化,不受水的侵蚀,不会引起被粘合物的分解。因此除广泛用于橡胶工业外,还可用作合成纤维、木材、金属、陶瓷、塑料等的胶粘剂。用间二酚-氰尿酸三芳基酯-甲醛树脂处理钢丝帘子线,可改善钢丝对橡胶的粘合性能。在橡胶胶料中加入间二酚、六亚甲基四胺和二氧化硅,可改进短纤维在橡胶母体中的增强作用。
由于间二酚与甲醛的缩聚反应和固化速度快,用于酚醛树脂和尿醛树脂的改性,可使树脂固化加速,产品具有更好的抗水性能。 以间二酚为原料合成的双(二基膦酸)间二酚酯是一种非卤阻燃剂,具有较高的热稳定性,适用于改性聚醚、聚碳酸酯、abs树脂以及各种热塑性树脂和聚氨酯等塑料。间二酚具有一定的杀菌作用,常用于制作软膏药物,外敷治疗真菌感染的皮肤疾病;由间二酚与甲醛制得的气凝胶,可用作化学电池的电极,当含盐废水或海水通过该电极时,可以脱去水中大量的离子,使含盐废水得以处理或海水得以淡化。由间二酚制得的醚类化合物可作为纤维素醚或酯类的稳定剂和增塑剂、环氧树脂和不饱和聚酯的交联剂,也是重要的化学试剂。
由间二酚和乙醛缩合制得的2,4-二羟基甲基酮,可用于制备治疗冠心病药物“乙氧黄酮”的中间体。 由间二酚和丙酸缩合制得的2,4-二羟基基乙基酮,在医药工业中可用于制备神经兴奋药”回苏灵”。间二酚三硝化或先亚硝化而后氧化而得的2,4,6-三硝基-间二酚,可用作含硝酸纤维素的炸药和推进剂。 间二酚和二氧化碳反应制得的2,4-二羟基甲酸是制备染料、感光材料和化妆品的中间体。作为医药工业的中间体,常用于合成杀菌药物和抗风湿性药物。在染料工业中,代替水杨酸作为偶合组分,可以合成出比以水杨酸为偶合组分颜色更深、强度更高的偶氮染料。此外还可用于制备间二酚的各种卤化、硝化或磺化产物。
以间二酚合成的间氨基酚在医药上可用来制造治疗结核病的良药对氨基水杨酸(pas)。在染料工业,可用来制造n,n-二甲基-3-氨基酚,用作媒染和碱性染料中间体及照相显影剂;用于制造偶氮染料中间体3-胺基酚,制造毛皮染料如毛皮棕、毛皮黄等。此外,还可用作环氧丙烷的聚合及丙烯腈二聚反应的催化剂,用作碱性介质中金属防腐蚀剂及用于生产除草剂、杀虫剂,抗氧剂、稳定剂和显影剂等。间二酚和马来酸酐合成的7-羟基香兰素,具有抑霉杀菌、抗菌利胆活性,可用于药物的软膏中;也可用于制备降压药物。此外还可用作塑料、纺织品、肥皂、洗涤剂的荧光增白剂。由间二酚和乙酰反应得到的4-甲基-7-羟基香豆素,可用于掩蔽肥皂、洗涤剂、石蜡、塑料、纤维和纸张中的黄色,也可用作紫外线的屏蔽剂。 此外,间二酚还可用于毛皮染色和用作染发剂,用作化学分析试剂,用作合成塑料聚并二恶唑、偶氮染料、萤光染料和酸性曙红的原料,用于合成农用薄膜,合成杀虫剂(蝇毒磷)、除草剂(乙氧基氟草醚等)以及肠道消毒剂等。
【主要参考资料】
[1]崔小明.间二酚的生产应用及市场前景[j].四川化工与腐蚀控制,2002(05):41-44.
[2]常玉. 间二酚的低污染合成工艺开发探索[d].重庆大学,2003.
[3]戴子林,鲁艺,危青,肖本毅.间二酚的合成方法[j].五邑大学学报(自然科学版),2000(02):24-28.



