
结构式
| 物竞编号 | 01e1 |
|---|---|
| 分子式 | c4h4n2o2 |
| 分子量 | 112.09 |
| 标签 |
2,4-二羟基嘧啶, 2,4(1h,3h)-pyrimidinedione, 2,4-dihydroxypyrimidine, 2,4-pyrimidinediol, 杂环化合物 |
编号系统
cas号:66-22-8
mdl号:mfcd00006016
einecs号:200-621-9
rtecs号:yq8650000
brn号:606623
pubchem号:24900618
物性数据
1. 性状:白色或浅黄色针状结晶
2. 密度(g/ml,25/4℃):不确定
3. 相对蒸汽密度(g/ml,空气=1):不确定
4. 熔点(ºc):>300(lit.)
5. 沸点(ºc,常压):不确定
6. 沸点(ºc, 5.2kpa):不确定
7. 折射率:不确定
8. 闪点(ºc):不确定
9. 比旋光度(º):不确定
10. 自燃点或引燃温度(ºc):不确定
11. 蒸气压(kpa,25ºc):不确定
12. 饱和蒸气压(kpa,60ºc):不确定
13. 燃烧热(kj/mol):不确定
14. 临界温度(ºc):不确定
15. 临界压力(kpa):不确定
16. 油水(辛醇/水)分配系数的对数值:不确定
17. 爆炸上限(%,v/v):不确定
18. 爆炸下限(%,v/v):不确定
19. 溶解性:易溶于热水,溶于稀氨水,微溶于冷水,不溶于乙醇和
毒理学数据
暂无
生态学数据
暂无
分子结构数据
1、 摩尔折射率:25.00
2、 摩尔体积(cm3/mol):84.8
3、 等张比容(90.2k):215.0
4、 表面张力(dyne/cm):41.3
5、 极化率(10-24cm3):9.91
计算化学数据
1.疏水参数计算参考值(xlogp):无
2.氢键供体数量:2
3.氢键受体数量:2
4.可旋转化学键数量:0
5.互变异构体数量:9
6.拓扑分子极性表面积58.2
7.重原子数量:8
8.表面电荷:0
9.复杂度:161
10.同位素原子数量:0
11.确定原子立构中心数量:0
12.不确定原子立构中心数量:0
13.确定化学键立构中心数量:0
14.不确定化学键立构中心数量:0
15.共价键单元数量:1
性质与稳定性
暂无
贮存方法
本品应密封干燥保存。
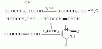
合成方法
由苹果酸、及尿素反应制得。

用途
生化研究。



