
结构式
| 物竞编号 | 01qj |
|---|---|
| 分子式 | c12h12n2o2s |
| 分子量 | 248.3 |
| 标签 |
二氨基二砜, 氨砜, 4-aminophenyl sulfone, 4,4'-sulfonyldianiline, bis(4-aminophenyl)suphone, dapsone, avlosulfone, dos, 双(4-氨基基)砜, 固化剂, 有机绝缘材料 |
编号系统
cas号:80-08-0
mdl号:mfcd00007887
einecs号:201-248-4
rtecs号:by8925000
brn号:788055
pubchem号:24891242
物性数据
1. 性状:白色或浅黄色结晶性粉末。无臭。味微苦。
2. 密度(g/ml,20℃):1.33
3. 相对蒸汽密度(g/ml,空气=1):未确定
4. 熔点(ºc):170~180
5. 沸点(ºc,常压):未确定
6. 沸点(ºc,5.2kpa):未确定
7. 折射率:未确定
8. 闪点(ºc):未确定
9. 比旋光度(º):未确定
10. 自燃点或引燃温度(ºc):未确定
11. 蒸气压(kpa,25ºc):未确定
12. 饱和蒸气压(kpa,60ºc):未确定
13. 燃烧热(kj/mol):未确定
14. 临界温度(ºc):未确定
15. 临界压力(kpa):未确定
16. 油水(辛醇/水)分配系数的对数值:未确定
17. 爆炸上限(%,v/v):未确定
18. 爆炸下限(%,v/v):未确定
19. 溶解性:微溶于水,可溶于醇、氯仿、乙腈及其他非质子系极性有机溶剂,还溶于稀无机酸
毒理学数据
低毒,大鼠经口ld50 1000mg/kg。有刺激性,可能引起呼吸道刺激,误食有毒。
生态学数据
暂无
分子结构数据
1、 摩尔折射率:67.51
2、 摩尔体积(cm3/mol):182.3
3、 等张比容(90.2k):513.0
4、 表面张力(dyne/cm):62.6
5、 极化率(10-24cm3):26.76
计算化学数据
1.疏水参数计算参考值(xlogp):无
2.氢键供体数量:2
3.氢键受体数量:4
4.可旋转化学键数量:2
5.互变异构体数量:无
6.拓扑分子极性表面积94.6
7.重原子数量:17
8.表面电荷:0
9.复杂度:306
10.同位素原子数量:0
11.确定原子立构中心数量:0
12.不确定原子立构中心数量:0
13.确定化学键立构中心数量:0
14.不确定化学键立构中心数量:0
15.共价键单元数量:1
性质与稳定性
在空气中稳定,无臭,味微苦,中等毒性。操作人员应穿戴防护用具,防止接触眼睛,皮肤及衣物,防止误食及吸入。
贮存方法
本品应密封避光保存。应储存在阴凉,干燥的地方。在不使用时保持密封。
合成方法
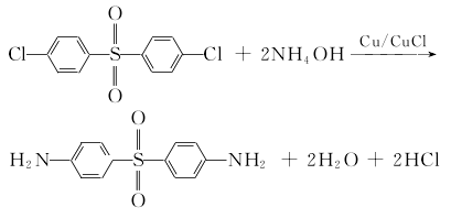
将4,4′-二氯二砜、酮粉,氯化亚酮及氨水加入高压釜,搅拌下加热,于170~202℃及3mpa压力下,反应14h,然后降温至60℃,经过滤、水洗、干燥得粗产品4,4′-二氨基二砜。根据产品的用途,对粗产品进行精制。例如可将粗产品溶解于10%的盐酸中,加活性炭脱色,过滤,冷却至10℃以下,用碳酸钠溶液调节ph值至2~2.5,离心过滤,再水洗至中性,经干燥即得成品。收率78%以上。

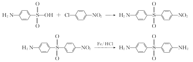
(1)以对硝基氯、对氨基磺酸为原料
(2)以对硝基氯为原料

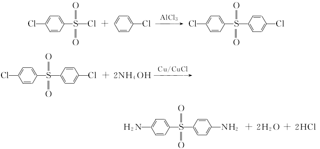
(3)以对氯磺酰氯和氯为原料
用途
环氧树脂固化剂。气相色谱固定液(高使用温度180℃,溶剂为丙酮)。分离分析酚类化合物。 本品用作环氧树脂的固化剂,反应性低,使用寿命长(约1年)。适用于浇铸品、层压品和黏合剂等。一般用量30~35份。固化条件:110~200℃/2~4h。固化物具有优良的热稳定性和突出的化学稳定性,热变形温度很高(170~180℃)。由于本品与树脂的混合物黏度很高,故用于浇铸制品时一般是在100℃以上进行。
本品作为抗麻风药是国家基本药物之一。具有磺胺药的抗菌谱,突出优点为对麻风杆菌有抑制作用,适用于各种麻风病,疗效好,服用方便,可为首选药。但毒性较大,与其他类型抗麻风病药合用可减少剂量,减低毒性和延迟耐药性的产生。



