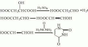
尿嘧啶 uracil

结构式 物竞编号 01e1 分子式 c4h4n2o2 分子量 112.09 标签 2,4-二羟基嘧啶, 2,4(1h,3h)-pyrimidinedione, 2,4-dihydroxypyrimi…

联系我们

联系我们

181-3619-1160

在线咨询: QQ交谈

邮箱: 34331943@QQ.com

工作时间:周一至周五,9:00-17:30,节假日休息

关注微信
微信扫一扫关注我们

微信扫一扫关注我们

关注微博
返回顶部
首页
找样品
产品
应用
搜索