
结构式
| 物竞编号 | 03v7 |
|---|---|
| 分子式 | c4h10n2·6h2o |
| 分子量 | 194.23 |
| 标签 |
二乙烯二胺六水, 哌嗪六水, 六水合哌嗪, diethylenediamine hexahydrate, 杂环化合物 |
编号系统
cas号:142-63-2
mdl号:mfcd00149389
einecs号:203-808-3
rtecs号:tm0850000
brn号:4455527
pubchem号:暂无
物性数据
一、物性数据
1. 性状:白色晶体
2. 闪点(ºc):190°f
3. 熔点(ºc):44-45 ºc
4. 沸点(ºc,常压):145-156ºc
毒理学数据
二、毒理学数据:
1、急性毒性:大鼠经口ldlo:500 mg/kg;
小鼠经口ld50:11200 mg/kg;
小鼠腹腔ld50:300 mg/kg.
生态学数据
三、生态学数据:
1、其它有害作用:该物质对环境可能有危害,对水体应给予特别注意。
分子结构数据
暂无
计算化学数据
1.疏水参数计算参考值(xlogp):无
2.氢键供体数量:8
3.氢键受体数量:8
4.可旋转化学键数量:0
5.互变异构体数量:无
6.拓扑分子极性表面积30.1
7.重原子数量:12
8.表面电荷:0
9.复杂度:26.5
10.同位素原子数量:0
11.确定原子立构中心数量:0
12.不确定原子立构中心数量:0
13.确定化学键立构中心数量:0
14.不确定化学键立构中心数量:0
15.共价键单元数量:7
性质与稳定性
常温常压下稳定。
低毒,大鼠经口ld501900mg/kg,小鼠经口ld5011200mg/kg。空气中高容许浓度5mg/m3(己二酸盐)。
贮存方法
密封避光于阴凉处保存。
内衬塑料袋,外套以塑料桶包装,注意密封,严防吸潮。贮运中应防雨淋、防晒、防火。按一般化学品规定贮运。
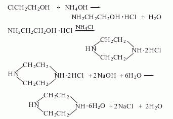
合成方法
由氯乙醇经氨化、环合成哌嗪盐酸盐,再用氢氧化钠中和制得六水哌嗪,其反应式如下:

用途
本品主要用于生产驱肠虫药磷酸哌嗪、枸橼酸哌嗪,以及氟奋乃静、强痛定、利福平。六水哌嗪溶于醇,加入冰醋酸搅拌冷却即析出哌嗪,可用于合成激素类药物氢化泼尼松磷酸钠。六水哌嗪还可用于生产乙酰哌嗪医药中间体。哌嗪也应用于生产湿润剂、乳化剂、分散剂等表面活性剂类产品,生产抗氧剂、防腐剂、稳定剂、塑料加工助剂和橡胶助剂等。



