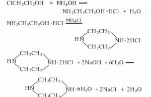
哌嗪六水合物 piperazine hexahydrate

结构式 物竞编号 03v7 分子式 c4h10n2·6h2o 分子量 194.23 标签 二乙烯二胺六水, 哌嗪六水, 六水合哌嗪, diethylenediamine hexahydrate, 杂…

联系我们

联系我们

181-3619-1160

在线咨询: QQ交谈

邮箱: 34331943@QQ.com

工作时间:周一至周五,9:00-17:30,节假日休息

关注微信
微信扫一扫关注我们

微信扫一扫关注我们

关注微博
返回顶部
首页
找样品
产品
应用
搜索