DBU催化剂_环氧促进剂DBU_延迟催化剂DBU_催化剂网 催化剂百科 乙酰甲氧乙酯的合成和应用_凯茵工业添加剂

乙酰甲氧乙酯的合成和应用_凯茵工业添加剂

广告位

背景及概述[1]

乙酰甲氧乙酯可用作医药合成中间体。

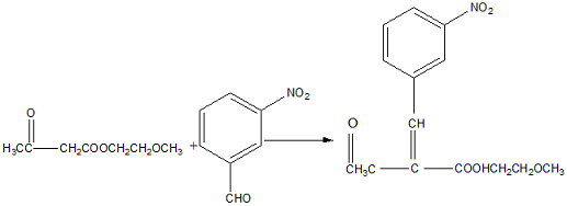
应用[1]

乙酰甲氧乙酯可用于制备西尼地平中间体2-(3-硝基亚苄基)乙酰甲氧基乙基酯。西尼地平由日本富士株式会社研制开发,并于1995年12月在日本首次上市。西尼地平化学名为:消旋2,6‑二甲基‑4(3‑硝基)‑1,4‑二氢吡啶‑3,5‑二羧酸‑2‑甲氧乙基(e)‑3‑基‑2‑丙烯基双酯。西尼地平是亲脂性的二氢吡啶类钙拮抗剂,能与血管平滑肌细胞膜上l型钙通道的二氢吡啶位点结合,抑制ca2+通过l型钙通道的跨膜内流,从而松弛、扩张血管平滑肌,起到降压作用。具体步骤如下:

(1)称取乙酰甲氧乙酯200g,加入到500ml的三口烧瓶中,搅拌,降温至5℃左右,滴加浓25ml,保证10℃以下,40分钟滴加完毕,滴完后加100ml,再平均分为三次加入间硝基甲醛151g;(2)室温反应2.5小时,停止搅拌,放置过夜;(3)次日加入450ml将固体全部溶解,分别加纯化水200ml萃取两次,收集有机层;(4)减压蒸出,用冰水降温,结晶;(5)将所得结晶体过滤,用少量乙醇清洗,得淡黄色固体,70℃烘干,得固体208g,收率71%,含量为99.2%(高效液相色谱分析)。与现有的西尼地平缩合中间体的制备方法相比,所得的目标产物纯度高,达到了99%以上,收率高,达到了70%以上。而且,反应条件温和、操作简便。

主要参考资料

[1]cn201110433851.12-(3-硝基亚苄基)乙酰甲氧基乙基酯的合成方法

广告位
本文来自网络,不代表DBU催化剂网立场,转载请注明出处。若有侵权,请联系我们,马上删除处理!https://www.dbuchem.cn/18706.html

作者: admin

上一篇
下一篇
联系我们

联系我们

181-3619-1160

在线咨询: QQ交谈

邮箱: 34331943@QQ.com

工作时间:周一至周五,9:00-17:30,节假日休息

关注微信
微信扫一扫关注我们

微信扫一扫关注我们

关注微博
返回顶部
首页
找样品
产品
应用
搜索