乙酰甲氧乙酯的合成和应用_凯茵工业添加剂

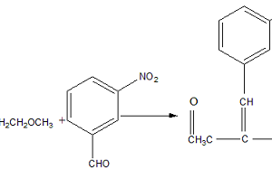
背景及概述[1] 乙酰甲氧乙酯可用作医药合成中间体。 应用[1] 乙酰甲氧乙酯可用于制备西尼地平中间体2-(3-硝基亚苄基)乙酰甲氧基乙基酯。西尼地平由日本富士株式会社研制开发,并于1995年12月…

联系我们

联系我们

181-3619-1160

在线咨询: QQ交谈

邮箱: 34331943@QQ.com

工作时间:周一至周五,9:00-17:30,节假日休息

关注微信
微信扫一扫关注我们

微信扫一扫关注我们

关注微博
返回顶部
首页
找样品
产品
应用
搜索