背景及概述[1]
2-羟基-5-氯二甲酮可用作医药合成中间体,可由甲酸4-氯酯为反应原料进行制备,也可由取代的水杨酸和芳基硼酸反应制备得到。
制备[1-2]
报道一、

在250 ml圆底烧瓶中加入甲酸4-氯酯(23.3 g,100 mmol)和无水氯化铝(16.7 g,125 mmol,1.25eq)。将融化的反应混合物在160-180°c下缓慢搅拌3小时。将混合物冷却至室温。用冰冷的水(170 ml)和10%的盐酸水溶液(85 ml)淬灭混合物,向混合物中加入二氯甲烷(200 ml),充分摇匀直至完全溶解。将溶液转移至分液漏斗中,将水层与有机层分离,再萃取两次(2×200 ml)。将合并的有机层减压浓缩至约150 ml。将混合物转移至分液漏斗中,用2.5%氢氧化钠溶液(4×250 ml)萃取混合物。用10%的(ph≈1,约300 ml)酸化合并的碱性水层,过滤出粗沉淀,在空气中干燥滤液。用活性炭纯化后,从甲醇中结晶粗晶体,得到2-羟基-5-氯二甲酮。
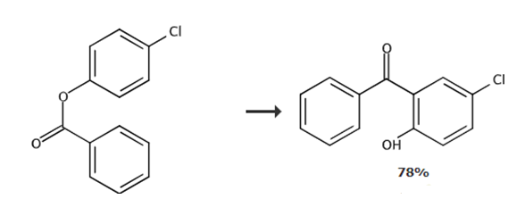
报道二、
将取代的水杨醛(0.2 mmol)和芳基硼酸(0.4 mmol)的混合物溶于dmf(2 ml)中。添加[cp * rhcl2] 2(4.9 mg,4 mol%)和cu(oac)2(72.8 mg,0.4 ),在80°c的密封管中进行反应8小时,用(20 ml)稀释反应混合物,并用h2o(310 ml)洗涤,将有机层用无水na2so4干燥。 将粗产物加载到硅胶柱上,并用5-10%的石油醚溶液闪蒸,得到2-羟基-5-氯二甲酮。
参考文献
[1] series of high spin mononuclear iron(iii) complexes with schiff base ligands derived from 2-hydroxybenzophenones
[2] rh(iii)-catalyzed aldehyde c-h bond functionalization of salicylaldehydes with arylboronic acids



