背景及概述[1]
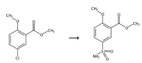
2-甲氧基-5-磺酰胺甲酸甲酯为抗精神类药物舒必利及左旋舒必利的重要中间体,其合成目前国内外均采用水杨酸经甲基化、氯磺化、胺化、酯化得该产品,其工艺路线长,每一步产生的三废量大,尤其是高化学需氧量(cod)、高盐、高氨氮、混合废水等,处理难度大,处理成本极高,严重制约了该产品大规模工业化生产。
新型制备方法[1]

在装有回流装置的1000ml反应瓶中将加入300g四氢呋喃,50g(0.25mol)2-甲氧基-5-氯甲酸甲酯,1.8g溴化亚铜(0.0125mol),25.7g(0.25mol)氨基亚磺酸钠,升温至65℃,并在此温度下保持12小时,保温结束,在反应液中加入2克活性炭乘热过滤,滤液减压浓缩至干,60℃真空干燥得,得2-甲氧基-5-磺酰胺甲酸甲酯白色结晶粉沫57.9g(0.236mol),收率94.5%,含量99.51%(hplc)。其中hplc检测条件:流动相:700毫升水;甲醇200毫升。检测波长:240nm,流速1.0ml/min,样品0.01克,用流动相稀释至25毫升,进样量5μl。
应用[2]
2-甲氧基-5-磺酰胺甲酸甲酯可用于制备舒必利,舒必利(sulpiride),化学名为n-〔(1-乙基-2-吡咯烷基)甲基〕-2-甲氧基-5-(氨磺酰基)甲酰胺;1967年由法国人合成,由于其具有治疗精神障碍作用,不良反应少,在国内外临床上已经使用多年。具体反应步骤为:将2-甲氧基-5-磺酰胺甲酸甲酯49g和(s)-1-乙基-2-氨甲基四氢吡咯烷26.5g加入到反应瓶中,氮气保护下90~100℃反应5小时,反应结束,冷却到80℃,加入50g乙醇,搅拌回流10分钟,冷却到5℃搅拌2小时,过滤,用乙醇洗涤,65℃干燥。收率93.8%,纯度99.2%。
参考文献
[1]cn201511010526.9一种制备2-甲氧基-5-磺酰胺甲酸甲酯的方法
[2]cn201210445711.0一种舒必利或其光学异构体的合成及后处理方法



