2-甲氧基-5-磺酰胺甲酸甲酯的制备方法和应用_凯茵工业添加剂

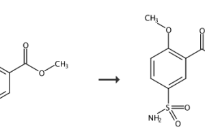
背景及概述[1] 2-甲氧基-5-磺酰胺甲酸甲酯为抗精神类药物舒必利及左旋舒必利的重要中间体,其合成目前国内外均采用水杨酸经甲基化、氯磺化、胺化、酯化得该产品,其工艺路线长,每一步产生的三废量大,尤…

联系我们

联系我们

181-3619-1160

在线咨询: QQ交谈

邮箱: 34331943@QQ.com

工作时间:周一至周五,9:00-17:30,节假日休息

关注微信
微信扫一扫关注我们

微信扫一扫关注我们

关注微博
返回顶部
首页
找样品
产品
应用
搜索