背景及概述[1-2]
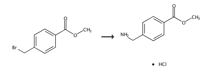
4-氨甲基甲酸甲酯盐酸盐是一种医药中间体,可由4-氨甲基甲酸通过一步酯化制备得到,或由4-(溴甲基)甲酸甲酯通过两步制备得到。
制备[1-2]
报道一、

将10g(151g/mol,0.066mol)4-氨甲基甲酸溶于150ml甲醇中,冰盐浴下向溶液中缓慢滴加7.15ml(118g/mol,1.64g/ml,0.099mol)二氯亚砜,维持温度在10℃以下,滴加完毕,继续搅拌反应1h,然后加热至70℃回流反应5h,薄层层析显示反应完全,减压回收甲醇和多余的二氯亚砜,残余物用/石油醚1:3洗,得亮白色固体9.7g。产物熔点182-183℃。
报道二、

a)4-(叠氮甲基)-甲酸甲酯
在5min内,在5.73g4-(溴甲基)甲酸甲酯在30mldmso的溶液里加入8.13g叠氮化钠,并在搅拌和ta下放置3h30min。用醚萃取反应混合物,用水、饱和氯化钠溶液洗涤有机相,用钠干燥并真空蒸发溶剂。得到4.72g无色油状所需产物。
b)4-氨基甲基甲酸甲酯盐酸盐
将4.71g在前面步骤中得到的化合物在30mlthf中的溶液冷却到4℃,在30min内分批加入6.57g三基膦,并在搅拌下放置6h,同时让温度恢复到ta。然后加入0.68ml水,在搅拌和ta下放置16h。用acoet萃取反应混合物,用水、饱和氯化钠溶液洗涤有机相,用钠干燥并真空蒸发溶剂。用对残渣进行吸收,过滤出不溶物,真空浓缩过滤液并在二氧化硅凝胶上用氯仿/甲醇/nh4oh混合物(90/10/0.2;v/v/v)洗脱将残渣进行色谱提纯。在甲醇中对得到的产物进行再处理,加入10nhcl直至ph=1并进行真空浓缩。得到4.25g所需产物。
参考文献
[1]史祥飞,叶清泉,薛阳,赵砚瑾,李庶心.甲酰胺组蛋白去乙酰化酶抑制剂的合成及抗肿瘤活性[j].解放军药学学报,2011,27(02):99-102.
[2]frompctint.appl.,2002076964,03oct2002



