4-氨甲基甲酸甲酯盐酸盐的制备方法_凯茵工业添加剂

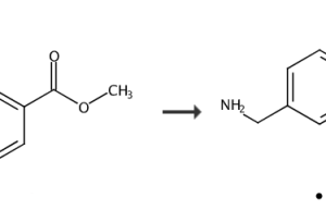
背景及概述[1-2] 4-氨甲基甲酸甲酯盐酸盐是一种医药中间体,可由4-氨甲基甲酸通过一步酯化制备得到,或由4-(溴甲基)甲酸甲酯通过两步制备得到。 制备[1-2] 报道一、 将10g(151g/m…

联系我们

联系我们

181-3619-1160

在线咨询: QQ交谈

邮箱: 34331943@QQ.com

工作时间:周一至周五,9:00-17:30,节假日休息

关注微信
微信扫一扫关注我们

微信扫一扫关注我们

关注微博
返回顶部
首页
找样品
产品
应用
搜索