油溶胺黑的应用_凯茵工业添加剂
背景及概述[1] 溶剂黑7又称油溶胺黑,它是一种染料及颜料,黑色超细粒末,溶于油脂和石蜡。其主要用于胶鞋亮油,也可用于胶乳。其可由胺、硝基及盐酸在三氯化铁存在下经高温压缩后再经碱中和制得。 应用[2…
1-氯并噻嗪的制备_凯茵工业添加剂
背景及概述[1][2] 1-氯并噻嗪是一种噻嗪类化合物,噻嗪类化合物广泛用于各个领域,例如三环类抗抑郁药,橡胶固化剂。 制备[1-2] 报道一、 将s-2-乙酰氨基乙硫醚(0.5 mmol),2,3…
2-氨基-4-氰基酚的制备与应用_凯茵工业添加剂
背景及概述[1-3] 2-氨基-4-氰基酚属于酚类衍生物,可用作有机中间体,可由2-硝基-4-氰基酚一步还原制备得到。 制备[1-3] 报道一、 把15g 2-硝基-4-氰基酚和1g 10%钯碳加入…
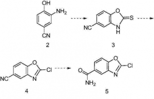
3,4-二氢-3-羟基-4-氧-1,2,3-并三嗪的应用_凯茵工业添加剂
背景及概述[1] 3,4-二氢-3-羟基-4-氧-1,2,3-并三嗪为杂环有机物,是一种多肽合成缩合剂,简称hoobt。相比较hbtu和hatu(磷-(7-氮杂三唑-1-基)-1,1,3,3-四甲基…
4-溴-2,3-二氟甲醛的制备_凯茵工业添加剂
背景及概述[1] 4‑溴‑2,3‑二氟甲醛是一种重要的含氟类液晶中间体,因其结构中氟原子取代环上的氢原子,相对于它他基团,在体积上较接近氢原子,不会因位阻效应影响液晶的有序排列,同时氟原子有较高的电…
基周位酸的应用_凯茵工业添加剂
概述[1][2] 基周位酸又叫8-胺-1-萘磺酸 ,是染料中间体,用来生产弱酸性黑br、弱酸性深蓝5r以及硫化染料和偶氮染料,蛋白质研究荧光探测剂。基周位酸是一种荧光染料,对蛋白质的疏水表面具有高亲…
对二甲酸二辛酯的应用_凯茵工业添加剂
概述[1][2] 对二甲酸二辛酯(dotp)是聚氯乙烯(pvc)塑料用的一种性能优良的主增塑剂。 它与目前常用的邻二甲酸二异辛酯(dop)相比,具有耐热、耐寒、难挥发、抗抽出、柔软性 和电绝缘性能好…
邻碘的制备_凯茵工业添加剂
背景及概述[1] 邻碘属于邻卤,是一种重要的有机合成中间体,可用于合成许多三环类化合物,其中邻氯和邻碘都可用于合成消炎镇痛药双氯灭痛。 制备[1] 1邻硝基的合成 将 10 ml 无水乙醇加入装有干…
苔色酸的制备_凯茵工业添加剂
背景及概述[1] 苔色酸(2,4-二羟基-6-甲基甲酸)为一种二羟基甲酸衍生物,结构上多一个甲基。其可作为医药合成中间体使用。 制备[1] 高挂草提取物苔色酸的制备方法步骤如下: 1)将粉碎后的高挂…
4-氯甲醛的制备和应用_凯茵工业添加剂
背景及概述[1-3] 4-氯甲醛主要用于制造镇静药芬那露、氨酪酸等医药原料及中间体,在农药上用以制造氯肉桂醛,除草杀敌散等。 制备[1] 芬那露药物中间体4-氯甲醛的合成方法,包括如下步骤: 在反应…



