
结构式
| 物竞编号 | 038a |
|---|---|
| 分子式 | c18h15o4p |
| 分子量 | 326.28 |
| 标签 |
磷酸三酯(tpp), 磷酸三酯, triphenyl phosphate (tpp), phosphoric acid phenyl ester, 阻燃性增塑剂, 耐火性溶剂, 塑料增塑剂, 屋顶用纸的浸润 |
编号系统
cas号:115-86-6
mdl号:mfcd00003031
einecs号:204-112-2
rtecs号:tc8400000
brn号:1888236
pubchem号:24889786
物性数据
1. 性状:白色、无臭结晶粉末, 微有潮解性。
2. 密度(g/ml,50/4℃):1.205
3. 相对蒸汽密度(g/ml,空气=1):9.4
4. 熔点(ºc):49~51
5. 沸点(ºc,常压):未确定
6. 沸点(ºc,1.47kpa):245
7. 折射率(60ºc):1.552
8. 闪点(ºc,闭口):220
9. 闪点(ºc,开口):235
10. 黏度(mpa·s,50ºc):11
11. 蒸气压(mmhg,200ºc):1.3
12. 饱和蒸气压(kpa, 20ºc):0.01
13. 燃烧热(kj/mol):未确定
14. 临界温度(ºc):未确定
15. 临界压力(kpa):未确定
16. 油水(辛醇/水)分配系数的对数值:未确定
17. 爆炸上限(%,v/v):未确定
18. 爆炸下限(%,v/v)未确定:
19. 溶解性:不溶于水,能与醇、醚、氯仿、丙酮、等混溶。溶于大多数漆用溶剂、稀释剂和油类。
毒理学数据
1、急性毒性:小鼠经口ld50:1300mg/kg;大鼠经口ld50:3000mg/kg
兔经皮ld50:3000 mg/kg;猫皮下注射ld50:0.1~0.2ml/kg。
2、非皮肤刺激物,不易为皮肤吸收。进入动物体内引起弛缓性瘫痪。工作场所高容许浓度3mg/m3(美国)。
生态学数据
对水有稍微的危害。
分子结构数据
暂无
计算化学数据
1.疏水参数计算参考值(xlogp):无
2.氢键供体数量:0
3.氢键受体数量:4
4.可旋转化学键数量:6
5.互变异构体数量:无
6.拓扑分子极性表面积44.8
7.重原子数量:23
8.表面电荷:0
9.复杂度:325
10.同位素原子数量:0
11.确定原子立构中心数量:0
12.不确定原子立构中心数量:0
13.确定化学键立构中心数量:0
14.不确定化学键立构中心数量:0
15.共价键单元数量:1
性质与稳定性
常温常压不分解,能与、氯仿、丙酮等混溶,微溶于乙醇,不溶于水,有阻燃性。34℃时水中溶解度0.001%。剧毒。
化学性质:磷酸三酯对酸比较稳定,对碱容易发生皂化反应。与氢氧化钡醇溶液一同煮沸时,生成二基磷酸钡。在冷却情况下用硝酸(相对密度1.5)进行硝化,主要生成磷酸三(4-硝基基)酯。用硝酸和的混酸进行硝化时,生成磷酸三(2,4-二硝基基)酯。磷酸三酯与碳酸钾一同加热时生成酚和少量的二醚及氧杂蒽酮。与氧化钙、氧化铝或氧化锌加热时,生成酚和杂蒽。用氧化镁处理生成少量的二醚。磷酸三酯用乙醇钠处理生成磷酸二乙酯的钠盐和乙基醚。
贮存方法
密封储存于阴凉、通风的库房。远离火种、热源。应与氧化剂分开存放,切忌混储。配备相应品种和数量的消材。储区应备有合适的材料收容泄漏物。
合成方法
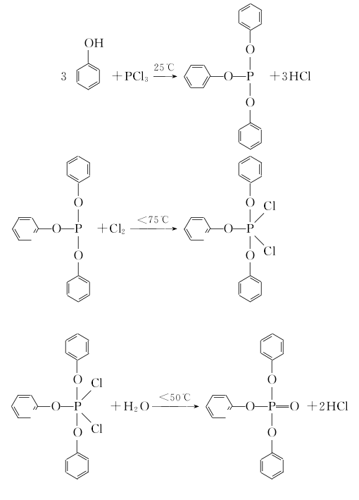
方法有:(一)三氯氧磷直接法(热法)和三氯化磷间接法(冷法)。(1)热法 将酚溶解在吡啶和无水溶剂中,在不超过10℃以下,缓缓加入三氯氧磷,然后在回流湿度下反应3-4h,冷却至室温后,反应物经水洗回收吡啶,用于燥钠脱水,过滤除钠,常压下蒸馏回收;减压蒸馏收集243-245℃/1.47kpa的馏分,经冷却、结晶、粉碎即得成品。
(2)冷法 将酚溶解在吡啶和无水溶剂中,然后于40℃下滴加三氯化磷生成亚磷酸三酯,继续在70℃下通入氯气生成二氯代磷酸三酸,再于80℃下进行水解生成磷酸三酯。水解物经水洗、碱中和、浓缩后进行减压蒸馏得成品。精制方法:常含有酚、磷酸和酸性磷酸酯等杂质。用乙醇或乙醇与溶剂汽油的混合液进行重结晶精制。
用途
1.用作硝酸纤维素和醋酸纤维素、阻燃性增塑剂、耐火性溶剂、硝酸纤维素漆、合成树脂、屋顶用纸的浸润剂以及赛璐珞制造时的樟脑代用品等。
2.阻燃性增塑剂。主要用作工程塑料及酚醛树脂积层板的阻燃增塑剂,也用作硝化纤维、纤维(片基)的阻燃增塑剂及聚氯乙烯的增塑剂。亦用作合成橡胶的柔软剂、耐汽油剂、黏胶纤维中樟脑的不燃性代用品、制造磷酸三甲酯的原料等。



