
结构式
| 物竞编号 | 03mr |
|---|---|
| 分子式 | c14h7clo2 |
| 分子量 | 242.66 |
| 标签 |
2-氯-9,10-蒽二酮, β-氯代蒽醌, β-chloroanthraquinone, 芳香化合物 |
编号系统
cas号:131-09-9
mdl号:mfcd00001227
einecs号:205-010-0
rtecs号:cb6151000
brn号:2051842
pubchem号:24849604
物性数据
1. 性状:浅黄色针状结晶
2. 熔点(℃):208~211
3. 溶解性:溶于醇、醚、热、硝基、浓、,不溶于水。
毒理学数据
1、急性毒性: 大鼠经口ld:>10gm/kg
大鼠经腹腔ld5o:4310mg/kg
小鼠经口ld:>10gm/kg
生态学数据
暂无
分子结构数据
1、 摩尔折射率:63.56
2、 摩尔体积(cm3/mol):171.0
3、 等张比容(90.2k):471.9
4、 表面张力(dyne/cm):58.0
5、 极化率(10-24cm3):25.19
计算化学数据
1.疏水参数计算参考值(xlogp):无
2.氢键供体数量:0
3.氢键受体数量:2
4.可旋转化学键数量:0
5.互变异构体数量:无
6.拓扑分子极性表面积34.1
7.重原子数量:17
8.表面电荷:0
9.复杂度:352
10.同位素原子数量:0
11.确定原子立构中心数量:0
12.不确定原子立构中心数量:0
13.确定化学键立构中心数量:0
14.不确定化学键立构中心数量:0
15.共价键单元数量:1
性质与稳定性
低毒。生产中使用的酐和氯有毒,发烟浓具有强腐蚀性。操作人员应穿戴劳保用具,车间内保持良好通风状态。
贮存方法
存放于干燥、通风处,防晒、防潮。按一般有毒化学品规定贮运。
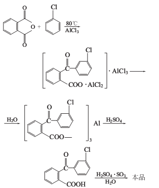
合成方法
酐与氯在无水三氯化铝存在下反应,得氯甲酰甲酸铝复盐,经水解酸化,再以发烟脱水、闭环、离析、过滤得成品。

用途
用作重要的染料中间体。主要用于生产2-氨基蒽醌,并进一步生产还原染料,如还原蓝rsn、还原蓝bc等,也可用于制造茜素。



