
结构式
| 物竞编号 | 03mf |
|---|---|
| 分子式 | c14h7nao7s |
| 分子量 | 342.26 |
| 标签 |
9,10-二氢-3,4-二羟基-9,10-二氧代-2-蒽磺酸单钠盐, 茜素磺酸钠, 媒介红 3, 茜素红, 1,2-二羟基蒽醌-3-磺酸钠, 1,2-二羟基蒽醌-3-磺酸钠盐, 3,4-dihydroxy-9,10-dioxo-2-anthracenesulfonic acid sodium salt,, alizarin carmine, alizarin red, alizarin sodium monosulfonate, alizarin sulfonate sodium, alizarinsulfonic acid sodium salt, sodium alizarinsulfonate, 组织化学研究用试剂 |
编号系统
cas号:130-22-3
mdl号:mfcd00013049
einecs号:204-981-8
rtecs号:cb1095300
brn号:4117090
pubchem号:24890988
物性数据
1. 性状:橙黄色或黄棕色粉末。
2. 密度(g/ml,25/4℃): 未确定
3. 相对蒸汽密度(g/ml,空气=1):未确定
4. 熔点(ºc):未确定
5. 沸点(ºc,常压):未确定
6. 沸点(ºc,5.2kpa):未确定
7. 折射率:未确定
8. 闪点(ºc):未确定
9. 比旋光度(º):未确定
10. 自燃点或引燃温度(ºc):未确定
11. 蒸气压(kpa,25ºc):未确定
12. 饱和蒸气压(kpa,60ºc):未确定
13. 燃烧热(kj/mol):未确定
14. 临界温度(ºc):未确定
15. 临界压力(kpa):未确定
16. 油水(辛醇/水)分配系数的对数值:未确定
17. 爆炸上限(%,v/v):未确定
18. 爆炸下限(%,v/v):未确定
19. 溶解性:易溶于水,微溶于乙醇,不溶于和氯仿。
毒理学数据
1、急性毒性: 小鼠经静脉ld5o:70mg/kg
生态学数据
暂无
分子结构数据
暂无
计算化学数据
1、 疏水参数计算参考值(xlogp):
2、 氢键供体数量:2
3、 氢键受体数量:7
4、 可旋转化学键数量:1
5、 互变异构体数量:16
6、 拓扑分子极性表面积(tpsa):132
7、 重原子数量:23
8、 表面电荷:0
9、 复杂度:599
10、同位素原子数量:0
11、确定原子立构中心数量:0
12、不确定原子立构中心数量:0
13、确定化学键立构中心数量:0
14、不确定化学键立构中心数量:0
15、共价键单元数量:2
性质与稳定性
1.水溶液呈浅黄褐色,加酸后呈黄色,加碱后呈蓝紫色。与铝、钴、铍、锆、钍等多种金属离子形成红紫或红橙色配合物,一定量的氟化物可使锆、钍等配合物退色。
贮存方法
密封保存。
合成方法
生产方法简介
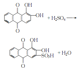
1.将茜素加入15%发烟,于105-110℃磺化,保温3h,冷却,倾入蒸馏水中,在60℃加氯化钠盐析,加热至70℃,放置过夜,过滤。用10%氯钠溶液洗涤后,将其溶于蒸馏水中,放置,过滤。用乙醇和盐酸(9:1)溶液浸泡结晶,不断搅拌,放置过夜,结晶在80℃以下干燥。提纯:将以法得到的茜素红用热水溶解,再加活性炭脱色,过滤,滤液边搅拌边加氨水,直至有少量结晶析出,再搅拌20min,放置过夜,过滤,产品在70-80℃干燥。


2.将粗品茜素红加热水溶解,加入活性炭脱色,滤液在搅拌下慢慢加入经过滤的清亮的工业氨水直到有少量结晶析出,继续搅拌20min,静置结晶,过滤后,结晶于70~80℃下干燥即得精制茜素红。
用途
1.测定氟化物。酸碱指示剂。茜素红能和许多金属离子生成稳定的红色络色物,在分析中常用作金属指示剂;光度法测定金属离子的显色剂;在分析中常用作金属指示剂;光度法测定金属离子的显色剂;酸碱指示剂,变色范围ph值3.7(黄)~5.2(紫),第二变色范围ph值10.1(紫)~12.0(浅黄);用于极谱法测定金属离子。
2.用作酸碱指示剂,ph值3.7( 黄)~5.2( 紫) 。用作光度法测定氟化物、铝、铍、锗、铟和钴等的显色剂。还用作犈 犇 犜 犃法测定铼、钍、钪等金属的指示剂。



