
结构式
| 物竞编号 | 0379 |
|---|---|
| 分子式 | c11h15no3 |
| 分子量 | 209.24 |
| 标签 |
邻异丙氧基基-n-甲基氨基甲酸酯, 安丹, 拜高, 残虫畏, aprocarb, arprocarb, propotox, o-isopropoxyphenyl-n-methylcarbamate, 氨基甲酸酯类杀虫剂 |
编号系统
cas号:114-26-1
mdl号:mfcd00055455
einecs号:204-043-8
rtecs号:fc3150000
brn号:1879891
pubchem号:24899241
物性数据
1. 性状:白色结晶粉末
2. 密度(g/ml, 25℃):未确定
3. 相对蒸汽密度(g/ml,空气=1):未确定
4. 熔点(ºc):91.5
5. 沸点(ºc,常压):未确定
6. 沸点(ºc,kpa):未确定
7. 折射率(n20/d):未确定
8. 闪点(ºc):未确定
9. 比旋光度(ºc):未确定
10. 自燃点或引燃温度(ºc):未确定
11. 蒸气压(mmhg,38ºc):未确定
12. 饱和蒸气压(kpa, 120ºc):1.33
13. 燃烧热(kj/mol):未确定
14. 临界温度(ºc):未确定
15. 临界压力(kpa):未确定
16. 油水(辛醇/水)分配系数的对数值:未确定
17. 爆炸上限(%,v/v):未确定
18. 爆炸下限(%,v/v):未确定
19. 溶解性:溶于大多数有机溶剂。
毒理学数据
雄性大鼠急性经口ld50为90-128mg/kg,雌性为川4mg/kg,雄性小鼠为100一109mg /kg。大鼠急性经皮ld50为8()0一1000 mg /kg。大鼠2年词喂试验无作用剂量为800一1000 mg /kg词料。鲤鱼lc50>10mg/l燕八哥急性经口lc50为15-30mg/kg。对蜜蜂高毒。
生态学数据
暂无
分子结构数据
五、分子性质数据:
1、 摩尔折射率:57.09
2、 摩尔体积(cm3/mol):193.2
3、 等张比容(90.2k):470.3
4、 表面张力(dyne/cm):51.4
5、 极化率(10-24cm3):22.63
计算化学数据
1.疏水参数计算参考值(xlogp):无
2.氢键供体数量:1
3.氢键受体数量:3
4.可旋转化学键数量:4
5.互变异构体数量:2
6.拓扑分子极性表面积47.6
7.重原子数量:15
8.表面电荷:0
9.复杂度:206
10.同位素原子数量:0
11.确定原子立构中心数量:0
12.不确定原子立构中心数量:0
13.确定化学键立构中心数量:0
14.不确定化学键立构中心数量:0
15.共价键单元数量:1
性质与稳定性
暂无
贮存方法
暂无
合成方法
1.将邻异丙基酚溶解在脱水二噁烷中,滴加甲基异氰酸酯和三乙胺,反应混合液逐渐升温。冷却,析出结晶,加石油醚后,结晶完全析出,收集结晶生成物,即残杀威,副产物尿素用石油英和水洗涤,除去溶剂,在50℃减压干燥,从中重结晶,得回收残杀威。原料消耗定额:邻异丙基酚890kg/t、甲基异氰酸酯330kg/t、脱水二噁烷150kg/t、石油醚500kg/t。
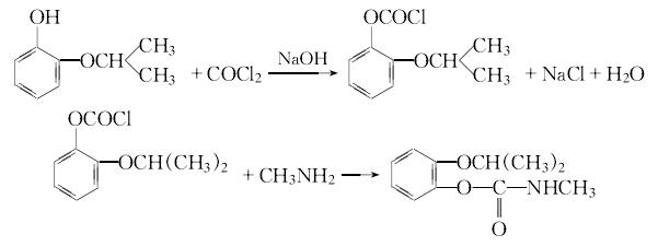
2.氯甲酸酯法
先合成异丙氧基氯甲酸酚酯,再胺解合成残杀威。两步反应均在低温下进行。

用途
1.非内吸性杀虫剂。具有触杀、胃毒和熏蒸作用,击倒快,速成度接近敌敌畏,持效期长。能杀体外寄生虫、家庭卫生害虫(蚊、蝇、蟑螂等)和仓贮害虫。
2.速效、长残效氨基甲酸酯类杀虫剂,具有触杀、胃毒和熏蒸作用,无内吸作用。主要用于防治水稻螟虫、稻叶蝉、稻飞虱、棉蚜、果树介壳虫、锈壁虱、杂粮害虫和卫生害虫。



