
结构式
| 物竞编号 | 03le |
|---|---|
| 分子式 | c4h4clno2 |
| 分子量 | 133.53 |
| 标签 |
n-氯代琥珀酰亚胺, n-氯丁二酰亚胺, 琥珀酰基氯亚胺, 琥珀酰氯亚胺, 氯代丁二酰亚胺, 氯代二乙酰亚胺, ncs, 氯化剂 |
编号系统
cas号:128-09-6
mdl号:mfcd00005511
einecs号:204-878-8
rtecs号:uy1013500
brn号:暂无
pubchem号:24852348
物性数据
1. 性状:白色粉末或晶体
2. 熔点(oc):150~152
3. 溶解性:1g n-氯代丁二酰亚胺溶解于约70ml水、150ml乙醇或50ml中,微溶于醚、氯仿和四氯化碳。
毒理学数据
1、急性毒性:大鼠经口ldlo:1gm/kg;大鼠经静脉注射ldlo:200mg/kg
2、其他多剂量毒性:大鼠经口tdlo:15gm/kg/40d-i;兔子经口tdlo:5800mg/kg/5w-i
3、致肿瘤:小鼠经皮下tdlo:840mg/kg/70w-i
生态学数据
暂无
分子结构数据
1、 摩尔折射率:27.46
2、 摩尔体积(cm3/mol):88.6
3、 等张比容(90.2k):236.1
4、 表面张力(dyne/cm):50.4
5、 极化率(10-24cm3):10.88
计算化学数据
1.疏水参数计算参考值(xlogp):-0.2
2.氢键供体数量:0
3.氢键受体数量:2
4.可旋转化学键数量:0
5.互变异构体数量:3
6.拓扑分子极性表面积37.4
7.重原子数量:8
8.表面电荷:0
9.复杂度:129
10.同位素原子数量:0
11.确定原子立构中心数量:0
12.不确定原子立构中心数量:0
13.确定化学键立构中心数量:0
14.不确定化学键立构中心数量:0
15.共价键单元数量:1
性质与稳定性
对湿气敏感,应保存在干燥器中。使用过程中,应避免吸入或粘在皮肤上,一般在通风性能良好的通风橱中操作。
腐蚀性物质。吞咽有害,会导致灼伤。万一接触眼睛,立即使用大量清水冲洗并送医诊治,使用合适的手套和防护眼镜或者面罩。
贮存方法
储存在干燥容器内。
合成方法
将4.96g(0.05mol)丁二酰亚胺溶于17ml和15ml水的混合溶剂中,在搅拌下加入5.6g(0.05mol)次氯酸叔丁酯(见本书第43页),然后在0℃静置1h.析出沉淀,过滤,固体真空干燥,得2.07g,产率31.3%。熔点149~150℃。
用途
1.重要的氯化剂,能将芳醛氯化而芳环不受影响。在胺、n-烷基胺的氯代(邻位为主),a-氨基吡啶氯代,a-硫基酰胺脱氢氯代和降解氯化,以及环戊二烯单氯化反应中都比用氯气、次氯酸叔丁酯、氯胺t等的产率更高。作为氧化剂,可将二醇氧化成内酯,伯(仲)醇氧化为醛(酮),b-羟基酮氧化成b-二酮等。在酸性条件下能选择性断裂色氨酸形成的肽键。也可用于烯丙胺、b,r-不饱和氨基酸极其衍生物的合成。
2.医药中间体。常用于抗菌素的合成,如苄基头孢菌素,也可用于制备橡胶助剂。
3.n-氯代丁二酰亚胺 (ncs) 是一种比较方便的亲电加成和亲电取代试剂,常用于硫化物、砜和酮的氯化,也可用来合成n-氯化胺。
羰基化合物的α-位氯化反应 在锂或其它试剂等的作用下,ncs可使羰基化合物的α-位氯化 (式1)[1~3]。

如果在手性催化剂的存在下,ncs可在羰基化合物的α-位发生不对称氯化 (式2)[4,5]。

亚砜的催化还原 在ncs的催化下,亚砜能够被还原为硫醚类化合物 (式3)[6]。

氧化反应 ncs也可作为氧化剂,将不饱和键转化为相应的饱和键,如烯醇酯在ncs的氧化作用下发生氰化反应,生成饱和氰化胺 (式4)[7]。

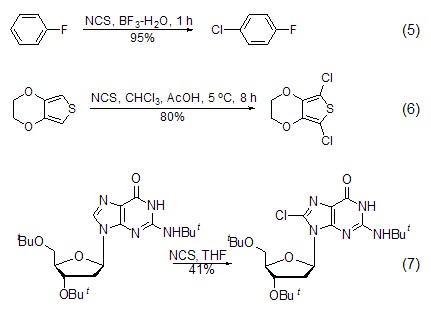
芳香化合物的氯化 ncs可使芳香型化合物 (式5)[8]、噻吩类化合物 (式6)[9] 和氮杂环化合物氯化 (式7)[10,11]。

n-氯代氨基化合物的合成 在ncs作用下,二级胺可转化为n-氯代氨基化合物 (式8)[12]。

醇羟基的氯化 ncs除了可使胺发生n-氯化反应以外,还可与醇类化合物在羟基部位发生氯化。在手性催化剂的存在下,ncs可以选择性地与某一构型的手性醇反应,从而实现醇的拆分 (式9)[13]。

与烯烃的反应 在催化剂如phsecl的作用下,ncs也可将烯烃进行氯化,该反应经历亲电加成得到氯化物后,催化剂复原即得到终产物 (式10)[14]。




