
结构式
| 物竞编号 | 02xa |
|---|---|
| 分子式 | c7h9n |
| 分子量 | 107.15 |
| 标签 |
2,6-卢剔啶, 2,6-二甲基吡啶, 2,6-二甲基氮杂, 甲基啶, 卢剔啶, 2,6-二基吡啶, 二甲基吡啶, 2,6-dimethylpyridine, 2,6-lutidine, 催化剂, 环氧树脂的固化剂, 含氮化合物溶剂, 杂环化合物 |
编号系统
cas号:108-48-5
mdl号:mfcd00006345
einecs号:203-587-3
rtecs号:ok9700000
brn号:105690
pubchem号:24901770
物性数据
1.性状:无色油状液体,有特臭。[12]
2.熔点(℃):-6[13]
3.沸点(℃):141~144[14]
4.相对密度(水=1):0.93[15]
5.相对蒸气密度(空气=1):3.7[16]
6.饱和蒸气压(kpa):8.88(79℃)[17]
7.临界压力(mpa):3.75[18]
8.辛醇/水分配系数:1.68[19]
9.闪点(℃):33[20]
10.溶解性:微溶于热水,微溶于乙醇,溶于、丙酮。[21]
11.折射率(20ºc):1.4977
12.黏度(mpa·s,25ºc):0.87766
13.蒸发热(kj/mol,25ºc):46.1
14.熔化热(kj/mol):10.05
15.生成热(kj/mol,液体):12.59
16.电导率(s/m,25ºc):1.4×10-9
17.体膨胀系数(k-1,25ºc):0.000983
毒理学数据
1.急性毒性[22] ld50:400mg/kg(大鼠经口);2500mg/kg(豚鼠经皮)
2.刺激性 暂无资料
3.其他[23] lclo:7500ppm(大鼠吸入,1h)
生态学数据
1.生态毒性[24] lc50:50~58mg/l(96h)(鱼类);62mg/l(96h)(无脊椎动物)
2.生物降解性[25]
污染的地表土,土壤生物降解半衰期为0.5个月;
未污染的地表土,土壤生物降解半衰期为1个月。
3.非生物降解性[26] 空气中,当羟基自由基浓度为5.00×105个/cm3时,降解半衰期为6d(理论)。
分子结构数据
1、摩尔折射率:33.99
2、摩尔体积(cm3/mol):115.2
3、等张比容(90.2k):276.7
4、表面张力(dyne/cm):33.2
5、极化率:13.47
计算化学数据
1.疏水参数计算参考值(xlogp):无
2.氢键供体数量:0
3.氢键受体数量:1
4.可旋转化学键数量:0
5.互变异构体数量:无
6.拓扑分子极性表面积12.9
7.重原子数量:8
8.表面电荷:0
9.复杂度:62.8
10.同位素原子数量:0
11.确定原子立构中心数量:0
12.不确定原子立构中心数量:0
13.确定化学键立构中心数量:0
14.不确定化学键立构中心数量:0
15.共价键单元数量:1
性质与稳定性
1.化学性质有碱性,能与无机酸、有机酸生成盐。与无机盐类和卤代烷等形成加成化合物。加氢时生成2,6-二甲基哌啶。用高锰酸盐氧化时,生成吡啶-2,6-二羧酸。2,6-二甲基吡啶气相时在脱氢催化剂的作用下,变成2-甲基吡啶和吡啶。
2.具有刺激性,对神经系统、肝、肾有损害作用。接触后会使眼睛、皮肤和黏膜呈现刺激症状,并引起头痛、眩晕、恶心、呕吐、精神迟钝、腹痛、腹泻等。本品易燃,遇高热、明火能引起燃烧和爆炸。受热分解放出有毒的氧化氮烟气。与氧化剂接触会猛烈反应。燃烧(分解)产物为一氧化碳、二氧化碳、氮氧化物。因此使用本品应在通风橱中进行。
3.稳定性[27] 稳定
4.禁配物[28] 强氧化剂、酸类、酰基氯、酸酐
5.聚合危害[29] 不聚合
贮存方法
1.储存注意事项[30] 储存于阴凉、通风的库房。库温不宜超过37℃。远离火种、热源。包装要求密封,不可与空气接触。应与氧化剂、酸类等分开存放,切忌混储。采用防爆型照明、通风设施。禁止使用易产生火花的机械设备和工具。储区应备有泄漏应急处理设备和合适的收容材料。
2.仓间阴凉通风,远离火源火种,仓温低于30℃,防日光直射。试剂:100ml500ml试剂瓶;工业品:18kg/桶20kg/桶。放置通风干燥处。
合成方法
1、通过从煤炼焦副产物中回收β-甲基吡啶馏分中分离得到。
通常含有3-和4-甲基吡啶,难用分馏的方法分离。一般利用与水组成的共沸混合物(共沸点95.5~96℃),进行精馏以达分离的目的。其他尚有与尿素形成加成物进行分离的方法;生成盐酸盐进行分离的方法;用亚镍、硫氰化铵混合溶液处理,使3-和4-甲基吡啶形成加成物而除去的方法等。

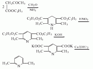
2、乙酰法 乙酰经环合、氧化、水解、碱解制得。
3、其纯化方法见文献[1]。
用途
1.在有机合成中用途广泛。医药工业中可用于生产抗动脉粥样硬化药血脉宁。还可用于生产对蛔虫、布氏姜片虫、鞭虫、蛲虫等有效的广谱驱虫药驱蛲净。以及可的松酯、氢化可的松、烟酸、芦别林等等。2,6-二甲基吡啶还可用作农药、染料、印染助剂、树脂、橡胶硫化促进剂、热油安定剂的中间体。本品经氧化可得到二甲基吡啶酸,用作过氧化氢和过的稳定剂,还能合成山梗碱。该品也可用作溶剂。2,6-二甲基吡啶在甲酰化反应中作催化剂使用,可用作环氧树脂的固化剂。
2.该产品具有碱性,可以催化醇的硅烷基化反应[2~7];该试剂还能使缩醛脱保护[8]。
醇的保护 在无水2,6-二甲基吡啶存在时,醇羟基可硅醚化,产率高达99%,此反应常用于天然产物全合成中醇羟基的保护。如在无水二氯甲烷 (–78~0 oc) 中,t-bu(me)2siotf (tbsotf) 和2,6-二甲基吡啶可以使二级醇转化为硅烷基醚,从而使羟基被保护,反应几乎是定量进行的 (式1)[5]。t-bu(me)2siotf 和2,6-二甲基吡啶也可以保护三级醇或不活泼的二级醇 (式2)[5,6]。(et)3siotf 和2,6-二甲基吡啶可以保护具有空间位阻的三级醇[7]。

脱保护 tmsotf与2,6-二甲基吡啶组合在一起,可以化学选择性地使缩醛脱保护而生成醛 (式3)[8]。

corey-fuchs反应 在ph3p和2,6-二甲基吡啶存在下,醛与cbr4在二氯甲烷中反应生成端二溴烯 (式4)[5]。

其它类型的反应 在2,6-二甲基吡啶盐酸盐存在下,可以使c-f键转化为c-h(d) 键 (式5)[9]。另外,2,6-二甲基吡啶还有其它方面的应用[10,11]。

3.在医药上可制治疗各种类型高血压病药及急救药,另外还用作杀虫剂及助染剂等。[31]



