DBU催化剂_环氧促进剂DBU_延迟催化剂DBU_催化剂网 催化剂百科 2-甲氧基-5-甲基胺 2-methoxy-5-methylaniline

2-甲氧基-5-甲基胺 2-methoxy-5-methylaniline

广告位

2-甲氧基-5-甲基胺结构式

结构式

物竞编号 03cp
分子式 c8h11no
分子量 137.18
标签

2-氨基-4-甲基甲醚,

对甲酚定,

甲氧基克利西丁,

克利西丁,

克利西定,

邻氯基对甲基甲醚,

2-甲氧基-5-甲基胺,

3-甲基-6-甲氧基胺,

2-amino-4-methylphenolmethylether,

2-amino-p-cresol methyl ether,

2-amino-p-cresolmethylether,

2-methoxy-5-methyl-benzenamin,

2-methoxy-5-methylbenzenamine,

2-methoxy-5-methyl-benzenamine,

3-amino-para-cresol,methylether,

4-methyl-2-aminoanisole,

芳香族含氮化合物及其衍生物

编号系统

cas号:120-71-8

mdl号:mfcd00007815

einecs号:204-419-1

rtecs号:bz6720000

brn号:637071

pubchem号:24869810

物性数据

1. 性状:白色结晶

2. 熔点(℃):51.5

3. 沸点(ºc):235

4. 溶解性:难溶于水,溶于乙醇、和盐酸,不溶于。

毒理学数据

有毒,鼠经口ld50:1450mg/kg。

生态学数据

暂无

分子结构数据

1、   摩尔折射率:41.99

2、   摩尔体积(cm3/mol):131.9                

3、   等张比容(90.2k):327.4

4、   表面张力(dyne/cm):37.8

5、   介电常数:

6、   偶极距(10-24cm3):

7、   极化率16.64

计算化学数据

1.疏水参数计算参考值(xlogp):无

2.氢键供体数量:1

3.氢键受体数量:2

4.可旋转化学键数量:1

5.互变异构体数量:无

6.拓扑分子极性表面积35.2

7.重原子数量:10

8.表面电荷:0

9.复杂度:105

10.同位素原子数量:0

11.确定原子立构中心数量:0

12.不确定原子立构中心数量:0

13.确定化学键立构中心数量:0

14.不确定化学键立构中心数量:0

15.共价键单元数量:1

性质与稳定性

本品有毒、有刺激性。受热散发出有毒气体。皮肤接触用水冲洗,再用肥皂彻底洗涤。

贮存方法

包装采用玻璃瓶外木箱内衬垫料。贮存于阴凉、通风的仓库内,远离火种、热源避免阳光直射,与食用原料隔离贮运。

合成方法

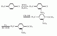
1.由对氯硝化、甲氧基化、还原而得。在15-20℃将混酸加入对氯中,在30℃搅拌2h,用水稀释,分离废酸,水洗得4-氯-3-硝基(收率30.6%)和4-氯-2-硝基(收率56.7%),用分馏和结晶法将两者分离,得4-氯-3-硝基。将其与甲醇及甲醇钠溶液反应,用中和分离,得3-硝基-4-甲氧基,收率85.6%。用水、铁粉、甲酸还原后,再用溶剂汽油多次萃取蒸馏而得。

2.由对甲酚硝化得到2-硝基-4-甲酚,再与二甲酯甲基化为3-硝基-4-对甲氧基,后用硫化碱还原而得。3.对氯-n,n-二乙基苄胺法 经硝化、甲氧基化、还原反应制得。

用途

本品是一种染料中间体。在直接染料方面用于合成c.i.29050、29065、27885等,在酸性染料方面用于合成c.i.14940、14965等,还用于制造分散大红gc、直接耐晒蓝3rll、直接黑d、活性黄棕k-gr、阳离子黄4g等。

广告位
本文来自网络,不代表DBU催化剂网立场,转载请注明出处。若有侵权,请联系我们,马上删除处理!https://www.dbuchem.cn/27311.html

作者: admin

上一篇
下一篇
联系我们

联系我们

181-3619-1160

在线咨询: QQ交谈

邮箱: 34331943@QQ.com

工作时间:周一至周五,9:00-17:30,节假日休息

关注微信
微信扫一扫关注我们

微信扫一扫关注我们

关注微博
返回顶部
首页
找样品
产品
应用
搜索