
结构式
| 物竞编号 | 01rt |
|---|---|
| 分子式 | c14h14n2o6s2 |
| 分子量 | 370.4 |
| 标签 |
amsonic acid, 芳香族含硫化合物 |
编号系统
cas号:81-11-8
mdl号:mfcd00024946
einecs号:201-325-2
rtecs号:wj6603000
brn号:629516
pubchem号:24869958
物性数据
1. 性状:黄色或淡黄色针状吸湿性晶体,工业品为浅黄色膏状物。
2. 密度(g/ml,25/4℃):不确定
3. 相对蒸汽密度(g/ml,空气=1):不确定
4. 熔点(ºc):>325
5. 沸点(ºc,常压):不确定
6. 沸点(ºc,5.2kpa):不确定
7. 折射率:不确定
8. 闪点(ºc):不确定
9. 比旋光度(º):不确定
10. 自燃点或引燃温度(ºc):不确定
11. 蒸气压(kpa,25ºc):不确定
12. 饱和蒸气压(kpa,60ºc):不确定
13. 燃烧热(kj/mol):不确定
14. 临界温度(ºc):不确定
15. 临界压力(kpa):不确定
16. 油水(辛醇/水)分配系数的对数值:不确定
17. 爆炸上限(%,v/v):不确定
18. 爆炸下限(%,v/v):不确定
19. 溶解性:极微溶于水,溶于乙醇和,易溶于碱溶液。
毒理学数据
1、急性毒性
猪口径ld50:47mg/kg;
2、生殖毒性:
大鼠腹腔tdlo: 300 mg/kgsex/duration
生态学数据
暂无
分子结构数据
1、 摩尔折射率:88.56
2、 摩尔体积(cm3/mol):222.7
3、 等张比容(90.2k):690.8
4、 表面张力(dyne/cm):92.5
5、 极化率(10-24cm3):35.11
计算化学数据
1、 疏水参数计算参考值(xlogp):0.3
2、 氢键供体数量:4
3、 氢键受体数量:8
4、 可旋转化学键数量:4
5、 拓扑分子极性表面积(tpsa):161
6、 重原子数量:24
7、 表面电荷:0
8、 复杂度:606
9、 同位素原子数量:0
10、 确定原子立构中心数量:0
11、 不确定原子立构中心数量:0
12、 确定化学键立构中心数量:1
13、 不确定化学键立构中心数量:0
14、 共价键单元数量:1
性质与稳定性
有毒,对皮肤有刺激性。应避免误服,避免与人体直接接触。操作人员应穿戴好劳动保护用具。
贮存方法
本品应密封阴凉避光干燥保存。
采用木桶或铁桶内衬塑料袋包装。每桶50kg。贮存在阴凉、通风的仓库内,密封保存。贮存期半年。按有毒化学品规定贮运。
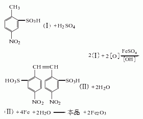
合成方法
由对硝基经磺化成对硝基邻磺酸,再经催化氧化成4,4′-二硝基二乙烯二磺酸,再经还原而成。


用途
用于制荧光增白剂和直接染料等。
作为染料中间体,dsd酸是生产二乙烯系列荧光增白剂vbl的主要原料;也是直接染料、活性染料的重要中间体。可生产直接冻黄g、直接艳黄4r、活性嫩黄kd-3g、耐晒橙f3g等上百个品种。还可作防蛀虫剂。



