
结构式
| 物竞编号 | 01rr |
|---|---|
| 分子式 | c7h5no3s |
| 分子量 | 183 |
| 标签 |
邻磺酰(甲)酰亚胺, 不溶性糖精, benzosulfimide, saccharin |
编号系统
cas号:81-07-2
mdl号:mfcd00005866
einecs号:201-321-0
rtecs号:de4200000
brn号:6888
pubchem号:24847625
物性数据
1. 性状:白色单斜结晶。真空升华的为针状结晶。
2. 密度(g/ml,25/4℃):0.828g/cm3
3. 相对蒸汽密度(g/ml,空气=1):不确定
4. 熔点(ºc):228.8~229.7℃
5. 沸点(ºc,常压):不确定
6. 沸点(ºc,5.2kpa):不确定
7. 折射率:不确定
8. 闪点(ºc):不确定
9. 比旋光度(º):不确定
10. 自燃点或引燃温度(ºc):不确定
11. 蒸气压(kpa,25ºc):不确定
12. 饱和蒸气压(kpa,60ºc):不确定
13. 燃烧热(kj/mol):不确定
14. 临界温度(ºc):不确定
15. 临界压力(kpa):不确定
16. 油水(辛醇/水)分配系数的对数值:不确定
17. 爆炸上限(%,v/v):不确定
18. 爆炸下限(%,v/v):不确定
19. 溶解性:微溶于水、和氯仿,溶于乙醇、、丙酮。它的钠盐称做糖精钠或溶性糖精,易溶于水,稀水溶液的甜味约为蔗糖的300~500倍
毒理学数据
毒性分级 低毒急性毒性 口服-小鼠 ld50;17000 毫克/公斤。
生态学数据
暂无
分子结构数据
1、 摩尔折射率:41.91
2、 摩尔体积(cm3/mol):117.6
3、 等张比容(90.2k):325.4
4、 表面张力(dyne/cm):58.6
5、 极化率(10-24cm3):16.61
计算化学数据
1、 疏水参数计算参考值(xlogp):0.9
2、 氢键供体数量:1
3、 氢键受体数量:3
4、 可旋转化学键数量:0
5、 互变异构体数量:2
6、 拓扑分子极性表面积(tpsa):63.2
7、 重原子数量:12
8、 表面电荷:0
9、 复杂度:303
10、 同位素原子数量:0
11、 确定原子立构中心数量:0
12、 不确定原子立构中心数量:0
13、 确定化学键立构中心数量:0
14、 不确定化学键立构中心数量:0
15、 共价键单元数量:1
性质与稳定性
又称邻磺酰酰亚胺。它的钠盐称做糖精钠或溶性糖精,易溶于水,稀水溶液的甜味约为蔗糖的300~500倍。少量无毒,但无营养价值。无色至白色结晶或白色结晶性粉末,无臭或稍有香气。味极甜,稀释10000倍的水溶液仍有甜味。其稀溶液的甜度约为蔗糖的500倍,后味微苦。熔点228℃(分解)。饱和水溶液0.25%)呈酸性(ph值2.0)。在酸性条件下(ph值3.8以下)很不稳定(分解)。遇碱或其水溶液加热均可使之分解(碱比酸稳定)。微溶于水(25℃,1g/290ml;沸水,1g/25m1)而溶于碱性溶液(氨、氢氧化碱、碳酸碱等)。略溶于乙醇(1g/31m1),微溶于氯仿和。
贮存方法
本品应密封阴凉避光干燥保存。
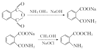
合成方法
其制备方法是由酐经胺化降解、重氮化、置换、氧化、酸析等步骤而得。1、胺化、降解、酯化制备邻氨基甲酸甲酯。
将酐加入反应锅,加入0℃的氢氧化铵溶液,升温至50℃,加入氢氧化钠溶液,控制加碱速度,使温度保持在70℃以下,ph值保持在8.5~8.9。加碱结束,将ph值调节至12~13,在65~70℃保温0.5h,保温赶氨气35h,冷至-10℃,加入已预冷的-10℃的甲醇和-10℃的次氯酸钠溶液,在0℃以下反应45min,再逐渐升温至30℃,以碘化钾淀粉试纸测试应呈无色反应,然后加入适量亚氢钠水解。料液转稀后,加热至50℃,再加入80℃热水,搅拌溶解,静置后过滤,分取油层,得邻氨基甲酸甲酯。
2、重氨化、置换、氯化制备邻磺酰甲酸甲酰
将邻氨基甲酸甲酯和亚硝酸钠溶液搅拌混匀,滴加到重氮锅内的混酸中反应,开始滴加的温度10℃左右,反应温度不超过25℃,反应终点碘化钾淀粉液呈淡绿色。将此重氮反应液冷至10℃,加入铜溶解后通入so2(约1h通完),析出邻亚磺酸甲酸甲酯,用h酸试纸测试置换终点应显无色,加入,在30~35℃通氯气至2%,联胺乙胺试纸测试显深墨绿色为氯化终点,静置分层,取有机层得邻磺酰氯甲酸甲酯溶液。3、环合、酸析得到不溶性糖精
将水和邻磺酰氯甲酸甲酯溶液加入反应锅,冷至10℃,加入氢氧化铵溶液搅拌,温度高达70℃,ph值在9以上反应15min后测试终点(2%联胺吡唑试纸,不立即显黄色为终点),分层取下层铵盐液加入和30%盐酸使ph=1以下,酸析后冷至20℃,分去酸水层、层水洗除氯化铵,得不溶性糖精胶状体。
用途
糖精即邻甲酰磺酰亚胺,是杀菌剂烯丙噻唑和除草剂甲磺隆、磺隆、胺磺隆、氯嘧磺隆的中间体。
主要用于生产农药中间体及生产糖精钠磷酸转移酶和磷酸水解酶的抑制剂。检定铊。非热量增甜剂。电镀增亮剂配方。医药助剂。用作厌氧胶的固化促进剂。在电镀工业中用作镀镊光亮剂,能使镀层结晶细致,光泽比较均匀。



