
结构式
| 物竞编号 | 02lp |
|---|---|
| 分子式 | c13h10o3 |
| 分子量 | 214 |
| 标签 |
脂肪族羧酸及其衍生物 |
编号系统
cas号:102-09-0
mdl号:mfcd00003037
einecs号:203-005-8
rtecs号:fg0500000
brn号:1074863
pubchem号:24893613
物性数据
1. 性状:白色结晶固体。
2. 密度(g/ml,87/4℃):1.1215
3. 相对密度(25℃,4℃):1.121587
4. 熔点(ºc):83
5. 沸点(ºc,常压):306
6. 沸点(ºc, kpa):未确定
7. 折射率(20ºc):1.1550
8. 闪点(ºc):168
9. 气相标准燃烧热(焓)(kj·mol-1):-6233.6
10. 气相标准声称热(焓)( kj·mol-1) :-311.2
11. 液相标准燃烧热(焓)(kj·mol-1):-6167.0
12. 液相标准声称热(焓)( kj·mol-1):-377.7
13. 晶相相标准燃烧热(焓)(kj·mol-1):-6143.6
14. 晶相标准声称热(焓)( kj·mol-1):-401.2
15. 临界压力(kpa):未确定
16. 油水(辛醇/水)分配系数的对数值:未确定
17. 爆炸上限(%,v/v):未确定
18. 爆炸下限(%,v/v):未确定
19. 溶解性:不溶于水,溶于热乙醇、、、四氯化碳、冰醋酸等有机溶剂。
毒理学数据
1、 急性毒性:大鼠经口ld50:1500mg/kg
2、低毒,易引起皮肤过敏。
生态学数据
该物质对水有稍微的危害。
分子结构数据
1、 摩尔折射率:59.21
2、 摩尔体积(cm3/mol):178.9
3、 等张比容(90.2k):461.0
4、 表面张力(dyne/cm):44.0
5、 介电常数:
6、 偶极距(10-24cm3):
7、 极化率:23.47
计算化学数据
1.疏水参数计算参考值(xlogp):无
2.氢键供体数量:0
3.氢键受体数量:3
4.可旋转化学键数量:4
5.互变异构体数量:无
6.拓扑分子极性表面积35.5
7.重原子数量:16
8.表面电荷:0
9.复杂度:193
10.同位素原子数量:0
11.确定原子立构中心数量:0
12.不确定原子立构中心数量:0
13.确定化学键立构中心数量:0
14.不确定化学键立构中心数量:0
15.共价键单元数量:1
性质与稳定性
1.避免与氧化物接触。能起卤化、硝化、水解、氨解等反应。
2.本品低毒。对皮肤有过敏性作用。注意防止生产过程中光气泄漏,生产场所应保持通风良好。操作人员应穿戴防护用具。
贮存方法
1.储存于阴凉、通风的库房。远离火种、热源、防静电。保持容器密封。应与氧化剂分开存放,切忌混储。配备相应品种和数量的消防器材。储区应备有合适的材料收容泄漏物。2.本品用镀锌铁桶包装,或聚丙烯编织袋内衬牛皮纸包装。存放于通风干燥库房
内。按有毒化学品规定贮运
合成方法
碳酸二酯有两种合成方法。(1)酚与光气合成法

先向反应锅内加入16%~17%的氢氧化钠溶液,再加入酚,在惰性溶剂存在下加入少量叔胺催化剂;然后冷至10℃左右加入液态光气,控制反应温度为20~30℃,反应生成的碳酸二酯不断呈固态小颗粒析出。反应过程中用调节光气的加入速度和控制冰盐水量来掌握反应温度。当物料ph=6.5~7时反应完毕。先赶走剩余光气和氯化氢气体,待物料静置分层去掉母液,得到碳酸二酯粗品;然后经多次盐水和冷水洗涤、分离,再用真空脱水和回收溶剂,后经减压蒸馏和滚筒结晶,得到所需的白色片状精碳酸二酯。
我国专利介绍,以石灰代替烧碱与酚反应生成酚钙盐,然后在室温、常压下高速定量地进行光气化反应可制得碳酸二酯。该工艺较以往采用的光气合成法单耗及成本显著降低,工艺条件温和,光气化温度由15~20℃提高到20~45℃,可省去冷冻盐水,光气化时间由4~10h缩到1~2h,生产效率显著提高,有效地抑制了各种副反应。
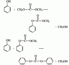
(2)乙烯碳酸酯法

此法在tio2/sio2催化剂存在下碳酸二甲酯与酚交换可得碳酸二酯。碳酸二甲酯与过量的酚,在200~250℃,0.39 mpa氮气压力下酯交换3h,主要产物是二基碳酸酯及少量甲基基碳酸酯及二醚。

用途
主要用于工程塑料聚碳酸酯和聚对羟基甲酸酯等的合成原料,也可以用作硝酸纤维素的增塑剂和溶剂。



