
结构式
| 物竞编号 | 01p0 |
|---|---|
| 分子式 | c3h9no |
| 分子量 | 75.11 |
| 标签 |
(±)-异丙醇胺, 3-氨基-2-丙醇, 1-氨基异丙醇, 2-羟基正丙胺, (±)-isopropanolamine, dl-isopropanolamine, 1-amino-iso-proanol, iso-propanolamine, 2-hydroxy-n-propylamine, iso-propanolamine, 多官能团溶剂, 表面活性剂, 增塑剂, 乳化剂, 纤维工业的抗静电剂 |
编号系统
cas号:78-96-6
mdl号:mfcd00008139
einecs号:201-162-7
rtecs号:ua5775000
brn号:605275
pubchem号:24846971
物性数据
1. 性状: 无色或微黄色液体。微有氨的气味。
2. 密度(g/ml,20/20℃):0.9681
3. 熔点(ºc):1.4
4. 沸点(ºc,常压):159.4
5. 折射率(20ºc):1.4479
6. 闪点(ºc):73.89
7. 黏度(mpa·s,20ºc):31
8. 溶解性:能与水、乙醇相混溶,不溶于。
毒理学数据
1、急性毒性:大鼠口径ld50:1715mg/kg;大鼠腹腔ld50: 250 mg/kg
兔子皮肤ld50: 1640 ul/kg;哺育动物ld50: >1mg/kg
2、神经毒性:兔子皮肤试验:485mgreaction severity
兔子皮肤试验:500 mg/24hreaction severity
兔子眼睛试验:970ug/reaction severity
兔子眼睛试验:250ug/24hreaction severity
3、对眼睛、黏膜、皮肤有一定的刺激性,严重的能引起灼伤。
生态学数据
暂无
分子结构数据
1、 摩尔折射率:20.97
2、 摩尔体积(cm3/mol):79.6
3、 等张比容(90.2k):194.6
4、 表面张力(dyne/cm):35.7
5、 极化率(10-24cm3):8.31
计算化学数据
1、 疏水参数计算参考值(xlogp):-1
2、 氢键供体数量:2
3、 氢键受体数量:2
4、 可旋转化学键数量:1
5、 拓扑分子极性表面积(tpsa):46.3
6、 重原子数量:5
7、 表面电荷:0
8、 复杂度:22.9
9、 同位素原子数量:0
10、 确定原子立构中心数量:0
11、 不确定原子立构中心数量:1
12、 确定化学键立构中心数量:0
13、 不确定化学键立构中心数量:0
14、 共价键单元数量:1
性质与稳定性
1.异丙醇胺没有特别强的毒性,因其有氨基,对眼和皮肤有一定程度的损害。对大鼠,经口毒性ld50为4.26g/kg。对人ld50为4.3g/kg。
2.具有腐蚀性,能引起烧伤,避免吸入本品的蒸气和烟雾。
贮存方法
1.本品应密封保存。
用铁桶包装,每桶100kg,国外也有用200kg桶装。贮运中注意防火、防热。
合成方法
1-氨基-2-丙醇(异丙醇胺)的主要用途如下:(1)与脂肪酸的反应生成脂肪酸异丙醇酰胺(烷基异丙醇酰胺)和酯,由于具有优良的起泡性,泡沫稳定性和溶解油脂的能力,故可作工业用合成洗涤剂。(2)与硫代乙醇酸中所得的产物可作化妆品的基质。(3)因吸湿性好,并具有弱碱性,故可作表面活性剂的原料,经及纤维工业的精炼剂、抗静电剂、染色助剂和纤维润湿剂。(4)其磷酸盐和亚硝酸盐可用作各种润滑油和切削油等的抗氧剂。(5)与各种酸及高级脂肪酮的反应产物可作增塑剂、乳化剂和溶剂。异丙醇胺混合物对烃的溶解能力特别强,将煤油、卤代烃、石脑油等与异丙醇胺(4%)、油酸(15%)一起在水中搅拌,可得稳定的乳剂。与长链脂肪酸生成的盐可用作醋酸乙烯酯树脂的乳化剂,乳液的稳定性好,颜色稳定。
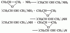
可由环氧丙烷与氨反应制得。将环氧丙烷与氨混合后,经预热进行加成反应,生成的混合物,经脱氨、脱水、进行减压蒸馏、精馏,即得成品。如在反应过程中调节环氧丙烷与氨的投料比例,可制得不同比例的异丙醇胺、二异丙醇胺和三异丙醇胺。

用途
1.用作溶剂、表面活性剂、增塑剂、乳化剂、纤维工业的抗静电剂。橡胶硫化促进剂。
2.用作表面活性剂的原料及洗涤剂等,可用来制备溶于非水溶性的洗涤剂,例如干洗制品等。



