
结构式
| 物竞编号 | 02fw |
|---|---|
| 分子式 | c7h8n2o2 |
| 分子量 | 152.15 |
| 标签 |
4-硝基邻胺, 4-硝基-2-甲基胺, 红色基rl, fast red rl base, 2-amino-5-nitrotoluene, 4-nitro-o-toluidine, 芳香族含氮化合物及其衍生物 |
编号系统
cas号:99-52-5
mdl号:mfcd00007734
einecs号:202-762-1
rtecs号:xu8210000
brn号:775772
pubchem号:24848779
物性数据
1.性状:黄色晶体[1]
2.熔点(℃):131~133[2]
3.辛醇/水分配系数:1.96~2.02[3]
4.溶解性:微溶于水,溶于乙醇、、丙酮、、氯仿。[4]
毒理学数据
1、致突变性:
突变微生物试验:细菌-鼠伤寒沙门氏菌,2500μg/plate;
突变微生物试验:细菌-鼠伤寒沙门氏菌,1mg/plate;
生态学数据
该物质对水有稍微的危害。
分子结构数据
暂无
计算化学数据
1.疏水参数计算参考值(xlogp):无
2.氢键供体数量:1
3.氢键受体数量:3
4.可旋转化学键数量:0
5.互变异构体数量:无
6.拓扑分子极性表面积71.8
7.重原子数量:11
8.表面电荷:0
9.复杂度:155
10.同位素原子数量:0
11.确定原子立构中心数量:0
12.不确定原子立构中心数量:0
13.确定化学键立构中心数量:0
14.不确定化学键立构中心数量:0
15.共价键单元数量:1
性质与稳定性
1.本品有毒。易被皮肤吸收,但可随尿液排出。参见对硝基胺。
2.稳定性[5] 稳定
3.禁配物[6] 酸类、酰基氯、酸酐、氯仿
4.聚合危害[7] 不聚合
贮存方法
1.储存注意事项[8] 储存于阴凉、通风的库房。远离火种、热源。包装密封。应与酸类、食用化学品分开存放,切忌混储。配备相应品种和数量的消防器材。储区应备有合适的材料收容泄漏物。
2.采用胶合板桶内衬塑料袋包装。每桶30kg。贮运中要防止受热、受潮。按有毒危险品规定贮运。
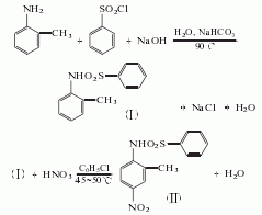
合成方法
采用邻胺与对甲磺酰氯为原料,经缩合、硝化、水解,中和及过滤干燥而得。原料消耗定额:邻胺(工业品)945kg/t、烧碱(100%)1350kg/t、磺酰氯(工业品)1650kg/t、小苏打(工业品)40kg/t、氯(工业品)460kg/t、(100%)3100kg/t、硝酸(98%)680kg/t、氨水(20%)6230kg/t、亚硝酸钠10kg/t、亚钠(工业品)26kg/t。


用途
1.染料中间体。用于冰染染料色基,即红色基rl。还用于棉、黏胶、锦纶织物、麻纤维织物的染色和印花显色。也可用于涂料的生产。
2.用于棉麻纤维织物的染色和印花显色,也可用于涂料的生产。[9]



