
结构式
| 物竞编号 | 01b0 |
|---|---|
| 分子式 | c14h15n3 |
| 分子量 | 225.29 |
| 标签 |
对二甲氨基偶氮, n,n-二甲基-4-(偶氮基)-胺, butter yellow, dimethyl yellow, solvent yellow 2, 4-(dimethylamino)azobenzene, n,n-dimethyl-4-(phenylazo)aniline, butter yellow, dimethyl yellow, solvent yellow 2, 酸碱指示剂 |
编号系统
cas号:60-11-7
mdl号:mfcd00008308
einecs号:200-455-7
rtecs号:bx7350000
brn号:746016
pubchem号:24859947
物性数据
1. 性状:金黄色片状或橙黄色粉末。
2. 密度(g/ml,25/4℃): 未确定
3. 相对蒸汽密度(g/ml,空气=1):未确定
4. 熔点(ºc):114~117
5. 沸点(ºc,常压): 未确定
6. 沸点(ºc,5.2kpa):未确定
7. 折射率: 未确定
8. 闪点(ºc): 未确定
9. 比旋光度(º):未确定
10. 自燃点或引燃温度(ºc):未确定
11. 蒸气压(kpa,25ºc):未确定
12. 饱和蒸气压(kpa,60ºc):未确定
13. 燃烧热(kj/mol):未确定
14. 临界温度(ºc):未确定
15. 临界压力(kpa):未确定
16. 油水(辛醇/水)分配系数的对数值:未确定
17. 爆炸上限(%,v/v):未确定
18. 爆炸下限(%,v/v):未确定
19. 溶解性:溶于乙醇、、氯仿、、石油醚、强酸和油类,不溶于水。
毒理学数据
暂无
生态学数据
暂无
分子结构数据
1、 摩尔折射率:71.66
2、 摩尔体积(cm3/mol):219.4
3、 等张比容(90.2k):543.9
4、 表面张力(dyne/cm):37.7
5、 极化率(10-24cm3):28.40
计算化学数据
1、 计疏水参数计算参考值(xlogp):4.6
2、 氢键供体数量:0
3、 氢键受体数量:3
4、 可旋转化学键数量:3
5、 互变异构体数量:
6、 拓扑分子极性表面积(tpsa):28
7、 重原子数量:17
8、 表面电荷:0
9、 复杂度:236
10、同位素原子数量:0
11、确定原子立构中心数量:0
12、不确定原子立构中心数量:0
13、确定化学键立构中心数量:0
14、不确定化学键立构中心数量:0
15、共价键单元数量:1
性质与稳定性
暂无
贮存方法
本品应密封避光保存。
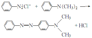
合成方法
1. 将胺慢慢加入带有碎冰的浓盐酸中,使之混合均匀,控制温度为0~5℃,在搅拌下将亚硝酸钠滴加到胺的盐酸溶液中,进行重氮化反应:

反应结束后,再加入配好的二甲基胺,维持温度在5℃以下,边搅拌边加入工业,搅拌3h后再加入少量,进行反应:

静置后过滤,黄色结晶先干燥,再依次用、乙醇重结晶,即可得成品二甲基黄。
用途
1. 酸碱指示剂,ph2.9(红)~4.0(黄)。测定胃液中的游离盐酸。过氧化脂肪的点滴试验。用于非水溶液滴定。



