
结构式
| 物竞编号 | 01av |
|---|---|
| 分子式 | c10h16n2o8 |
| 分子量 | 292.24 |
| 标签 |
四二氨基乙烯, 乙底酸, 维尔烯酸, (ethylenedinitrilo)tetraacetic acid, edathamil, edta, 聚合引发剂, 纤维处理助剂, 妆品添加剂, 络合剂, 血液抗凝剂, 重金属的定量分析试剂 |
编号系统
cas号:60-00-4
mdl号:mfcd00003541
einecs号:200-449-4
rtecs号:ah4025000
brn号:1716295
pubchem号:24894713
物性数据
1. 性状:白色或乳白色结晶性粉末。有微香。味苦。
2. 熔点(ºc):240-241
3. 分解温度(ºc):250
4. 溶解性:不溶于乙醇和一般有机溶剂,微溶于冷水,溶于氢氧化钠、碳酸钠和氨的水溶液中。其碱金属盐能溶于水。能溶于5%以上的无机酸,溶于氢氧化钠或碳酸钠水溶液,也能溶于氨水和1 6 0份沸水中。
毒理学数据
无毒,无刺激性。小鼠腹腔注射lc50为0.25g/kg;大鼠腹腔注射ld50为0.39g/kg。对皮肤、眼睛和黏膜有轻微的刺激性。
生态学数据
暂无
分子结构数据
1、 摩尔折射率:62.07
2、 摩尔体积(cm3/mol):186.6
3、 等张比容(90.2k):568.5
4、 表面张力(dyne/cm):86.1
5、 极化率(10-24cm3):24.60
计算化学数据
1.疏水参数计算参考值(xlogp):-5.9
2.氢键供体数量:4
3.氢键受体数量:10
4.可旋转化学键数量:11
5.互变异构体数量:无
6.拓扑分子极性表面积156
7.重原子数量:20
8.表面电荷:0
9.复杂度:316
10.同位素原子数量:0
11.确定原子立构中心数量:0
12.不确定原子立构中心数量:0
13.确定化学键立构中心数量:0
14.不确定化学键立构中心数量:0
15.共价键单元数量:1
性质与稳定性
1.水中溶解度为0.5g/l(25℃)。当加热至150℃时会发生脱羧反应。
2.应避免食入、吸入及与皮肤、眼睛接触。
3.能与多种金属离子形成稳定的配合物, 是电镀和化学镀的常用络合剂
贮存方法
1.密封保存于阴凉干燥处。
2.不宜与碱性化学物品混贮
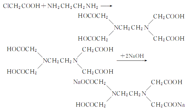
合成方法
1.在装有搅拌器和温度计的1l三口烧瓶中,加入125g氯、150g冰和130ml 30%氢氧化钠溶液,在搅拌下再加入20g乙二胺。在15℃下保温1h后,以每次10ml的批量加入30%氢氧化钠溶液,每次加入后,待酚酞指示剂不显碱性后再加入下一批。后反应混合物应呈碱性。在室温下保持12h后,加热至90℃,加活性炭脱色。过滤,滤渣用水洗涤,洗液与滤液合并后总体积约700ml。加浓盐酸至ph=3,开始析出结晶,滤出结晶,用水洗至无氯离子。烘干,得产品乙二胺四80g左右,产率90%。反应式如下:

2.在乙二胺四和水中,搅拌下加入30%氢氧化钠溶液,加热至全部反应,加盐酸至ph值为4.5,经浓缩、过滤、冷却结晶、洗涤、干燥得乙二胺四。
3.在800l不锈钢反应锅中,加入100kg氯、100kg冰及135kg30%的氢氧化钠溶液,在搅拌下再加入18kg83~84℃的乙二胺,于15℃保温1h后,以每次10l分批加入30%氢氧化钠溶液,每次加入后待酚酞指示剂不显碱性后,再加入下一批,后反应物呈碱性。在室温保持12h后,加热至90℃,加活性炭,过滤,滤渣用水洗,后,溶液总体积约600l。加浓盐酸至ph值为3,析出结晶。过滤,水洗
至无氯根为止。烘干,得edta64kg,收率95%。再用水洗涤即为成品。过程反应式为:

4.乙二胺与甲醛,氰化钠反应 将60%的乙二胺水溶液,30%氰化钠水溶液和氢氧化钠混合,保持在20℃混合0.5h 。然后滴加甲醛水溶液。反应后减压蒸出水。然后重复上述操作,后一次加入过量的甲醛,使氰化钠完全反应。用稀酸调ph值至1.2。析出白色沉淀,过滤,水洗,110℃干燥。得产品。反应式如下:

用途
1.染料工业用作染色助剂。橡胶工业用作合成橡胶聚合引发剂。化纤工业用作纤维处理助剂。轻工工业用于制造洗涤剂。日化工业用作化妆品添加剂。感光工业用作彩色感光材料冲洗加工的漂白定影液。医药工业用作血液抗凝剂。化工生产中用作络合剂。 重金属的定量分析试剂和溶剂。
2.络合试剂。用作金属离子络合剂和分离用的掩蔽剂、洗涤剂、血液抗凝剂及农业化学喷雾剂。
3.edta是螯合剂的代表,对钙、镁、铁成垢离子有络合或螯合作用,溶垢效果好,对金属设施腐蚀性很小,无氢脆和晶间腐蚀,可在循环水系统进行不停车清洗,但是因为它价格高、常温下溶垢速度慢、不能清除硅垢等缺点,限制了它的应用。
4.用作分析试剂,如作配合剂,配合掩蔽剂。还用于洗涤剂、血液抗凝剂、农用喷雾剂的配制。
5.在电镀液中作络合剂,也可在镀镍液中作ph值调节剂。在钠盐钝化液中作光亮剂使用,它消除钛盐钝化膜的白斑,一般用量8g/l。
6.用于染发类化妆品时,当过氧化物与染料组成混合时,金属离子会催化过氧化物的分解,从而影响染发效
果,而加入e dta后,可有效螯合微量重金属,增加抗氧作用。在染发类化妆品中的添加量一般为0 . 2%。
7.乙二胺四在无氰电镀中作络合剂,是化验时常用的试剂,还可在一些镀液和化学处理溶液中作添加剂。它的二钠盐是快速化学镀铜的络合剂。



