背景及概述
4-碘甲醚,又称对碘甲醚,是一种甲醚类卤素取代物,常温下为黄色至棕色粉末。4-碘甲醚在密闭容器中稳定,光照时不稳定。
合成方法[1][2][3]
合成路径1:
称取对硝基溴(50.5mg,0.25mmol)、ki(124.5mg,0.75mmol)、氧化亚铜(3.6mg,0.025mmol)、1,6-己二胺(5.81mg,0.05mmol),并依次加入到25ml的schlenk瓶中,加入精制过的乙醇(1.5ml),置于110℃油浴中反应30h,反应结束后,将反应液通过硅胶柱滤至10ml的容量瓶中,并用将溶液体积定量至指定刻度。4-硝基碘的产率约85%。反应通式如下。

合成路径2:
于250ml三颈瓶中,将0.05mol碘和0.02mol h5io6加入到100ml正丁醚中,加入0.1mol甲醚,搅拌下升温至100℃,加热一小时,冷却到零度,结晶,过滤,干燥得4-碘甲醚。
合成路径3:
以甲醚为起始原料,在44℃下,向250ml圆底烧瓶中加入甲醚(118.9mg,1.10mmol),碘(149.8mg,0.59mmol),硝酸铋(11.7mg,0.024mmol),氯化铋(11.0mg,0.035mmol)于1ml乙腈中搅拌,6h后停止反应,在反应混合物中加入二氯甲烷10ml,过滤。然后用0.5m硫代钠水溶液洗(10ml×3次),至洗去多余的碘,水相再用二氯甲烷10ml萃取一次,合并有机相,用无水镁干燥,过滤,减压蒸馏除去二氯甲烷,柱层析分离得产物4-碘代甲醚233.3mg,收率90%。
应用领域[4][5][6]
1.复配空气消毒制剂
空气消毒剂由以下重量分数的原料制备而成:亚甲基双环己烷胺己二胺0.5份,戊二醛2份,聚甲基丙烯酸羟乙酯5份,锌2份,对碘甲醚5份,大叶藻素1份,碳酸钠3份,水10份。
2.制备酰基脲类化合物
以4-碘甲醚和脲为原料,醋酸钯为催化剂,三乙胺为碱,五羰基铁为co释放源,4-碘甲醚和脲在温和的条件下发生偶联羰化反应生成酰脲类化合物4-甲氧基甲酰基脲。
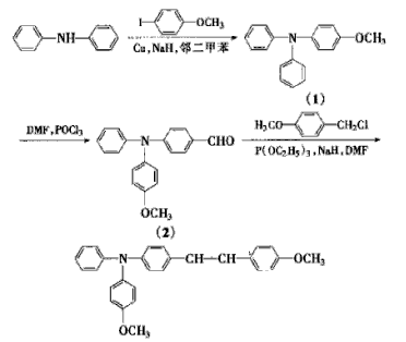
3.制备电荷传输材料
三胺类化合物能够在电场作用下形成胺离子自由基,使其具有较高的空穴迁移率和良好的空穴传输性能,1-(4-甲氧基)基-2-[4′-(4″-甲氧基)三胺基]-乙烯具有独特的电化学性质,应用范围广泛,用作电荷传输材料时性能优良。由4-碘甲醚制备1-(4-甲氧基)基-2-[4′-(4″-甲氧基)三胺基]-乙烯的合成路线如下图所示。在在氮气保护下,以二胺和对碘甲醚和对甲氧基氯苄为原料,经改良ullmann反应,vilsmeier-haack反应和wittig反应,合成电荷传输材料1-(4-甲氧基)基-2-[4′-(4″-甲氧基)三胺基]-乙烯。

主要参考资料
[1] 冯秀娟,包明,于晓强,一种由芳环上溴的碘代制备碘代芳烃的方法,cn 201410334551,申请日2014-07-15
[2] 刘国斌,李原强,匡通滔,一种制备芳香烃类或芳香杂环类化合物的单碘代合成方法,cn 200910045552,申请日2009-01-20
[3] 万顺,陆文军,汪日新,芳烃碘代物的制备方法,cn 200510111515,申请日2007-12-19
[4] 绍旭霞,一种改进的空气消毒制剂,cn 201310478841,申请日2013-10-15
[5] 高子伟,郑绍华,张伟强,一种温和的脲类化合物羰化芳基化反应的方法,cn 201710609757,申请日2017-07-25
[6] 李海华, 文利斌. 电荷传输材料 1-(4-甲氧基) 基-2-[4′-(4 ″-甲氧基) 三胺基]-乙烯的合成[j]. 现代化工, 2006, 26(5): 29-30.



