基本背景及概述[1][2]
对异丙基胺为无色液体,溶于等有机溶剂。对异丙基胺为一种烷基取代类胺化合物,又名枯胺,主要用于合成化学除草剂异丙隆、农药添加剂、医药、材料(涂料,染料)及其它农药化学制品,也被用于钨的分析。
在工业生产上,国外如美国、日本等早在20世纪80年代已成功研究开发了对异丙基胺的工业生产技术并利用其开发出许多具有特殊功能的系列产品。目前国内对异丙基胺主要从国外进口获得,对其的生产报道也不多。随着国际国内市场对对异丙基胺需求量的不断增加,以及该产品用途的不断扩大,开发对异丙基胺的合成工艺有广阔的前景。
合成方法[1][2][3][4][5]
合成路径1:铁粉还原法
以异丙为起始原料,在浓介质中均相硝化,得到硝基异丙混合物。反应混合物经铁粉还原、分离,得到含量≥97%的对异丙基胺。该反应硝化收率72.4%,还原收率92.3%;分离收率93.6%,总收率62.6%。


合成路径2:加氢还原法
以异丙为起始原料,经混酸硝化后,进行常压催化加氢。加氢反应以cu/sio2为催化剂,反应温度290~310℃,接触时间0.31~ 0.34 s,硝基物空速为0.23h-1,对异丙基胺选择性95%左右,硝基物转化率达99%以上。

应用领域[6][7][8]
1.合成除草剂异丙隆
异丙隆是取代脲类除草剂,特点在于杀草谱广,主要用于小麦、大麦、棉花、花生、玉米、大豆、豌豆、蚕豆等作物田,对哺乳动物毒性很小,且具有明显的增产作用。对异丙基胺是合成异丙隆的主要原料,目前国内外异丙隆的生产都是按照光气路线进行的。合成方法如下。

2.制备吲哚及其衍生物
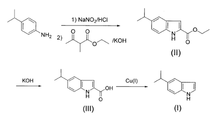
以对异丙基胺为原料,重氮化,与乙基-2-甲基-乙酰乙酯和koh成环反应,得到ii,溶于乙醇后经koh脱脂,粗酸酸化,得到iii,将iii加入高沸点溶剂中,经亚铜盐脱酸,得到5-异丙基吲哚(i)。与现有技术发明相比,该方法得到一种新的吲哚衍生物,5-异丙基吲哚,在药物和生物活性构建方面具有重要作用,与目前制备烷基取代吲哚衍生物相比,合成路线尖端,原料便宜,产率较高,可达60%~70%。

3.制备酰胺类化合物
酰胺类化合物是一类非常重要的化学物质,广泛应用于农药、高分子、材料、生物活性物质等领域,传统合成酰胺类化合物主要通过胺与化学性质活泼的羧酸盐生物、醇、醛等偶联反应得到,或是通过化学性质活泼的伯酰胺与脂肪胺之间的胺交换反应制备。一份专利指出,可以以钯盐及配体为催化剂,将n,n-二甲基甲酰胺类化合物、胺类化合物、质子酸、路易斯酸和有机溶剂混合,加热制备酰胺类化合物。如以对异丙基胺、n,n-二甲基甲酰胺为原料,加入合适的催化剂和溶剂,制备n-(4-异丙基基)甲酰胺。

降解特性[9]
对异丙基胺属于胺取代物,容易随着工业废水、农业径流水、生活污水排放到环境中,对水生生物和人体健康产生潜在危害,并有一定的环境风险。污水中的对异丙基胺主要来源于除草剂异丙隆的合成和代谢。好氧生化污水处理模拟实验表明,hrt为6h、12h、24h时,对异丙基胺去除率分别为66%、76%、91%,好氧活性污泥中的降解半衰期为16.16h。
主要参考资料
[1] 张鹏飞, 杨连成, 汪九山. 对异丙基胺的合成及应用[j]. 天津化工, 2003, 17(3): 28-30.
[2] 王良芥,罗和安,段正康.对异丙基胺的合成[ j].化学世界,1997.11:581- 583.
[3] fediriva p i et al. amination of aromatic compounds by hydroxylamine hydrochloride[j].zh prikl klim. 1973, 46(5):1079- 1082.
[4] baardman frank, et al. process for the selective alkylation of an aniline[p]. ep 79 093,1982.
[5] takuji n. preparation of 4- isopropylanilne[ p].jp 4069 366,1992.
[6] 章思规.实用精细化学品手册有机卷(下)[ m].北京化学工业出版社,1996.1553.
[7] 冯丽,恒张立伟,王晓菊,5-烷基取代吲哚衍生物及其制备方法,cn 200810055352,申请日2008-07-04
[8]郭勋祥,顾大伟,一种制备n-芳基酰胺化合物的方法,cn 201510259837,申请日2015-05-20
[9] 古文, 周林军, 刘济宁, 等. 3 种胺类化学品在好氧污水处理模拟系统中的降解特性[j]. 环境科学, 2016, 1: 036.



