背景及应用[1]
1,4-二酚又名氢醌,是一种重要的化工原料,近年来国内对其需求呈现不断增长趋势,消费领域逐年扩大。1,4-二酚应用广泛,是医药、农药、染料和橡胶等的重要原料、中间体和助剂,主要用于显影剂、蒽醌染料、偶氮染料、橡胶防老剂和单体阻聚剂、食品稳定剂和涂料抗氧化剂、石油抗凝剂、合成氨催化剂等方面。目前1,4-二酚的应用领域正在逐渐拓展,除在传统领域的应用外,目前在化肥、水处理、液晶聚合物等领域也有了新的发展。此外,其还可被加工为其他精细化工品.如1,4-二氨基隐色体、醌茜等。近年来研究人员多注重于1,4-二酚的生产工艺以及催化剂等方面的研发和改进。
制备[2][3][4][5][6][7]
1.1 传统方法
1.1.1 reppe法
reppe法是比较早的一种制备方法,反应历程大致为,在ru、rh催化剂下。温度为100-300℃、压力为100-350 mpa的条件下,乙炔与一氧化碳反应生成1,4-二酚。该法工艺简单,但所需催化剂价格昂贵且难以回收。
1.1.2胺氧化法
胺氧化法是一种传统的合成工艺.至今已有将近80年的历史.目前我国部分厂家仍采用此法生产1,4-二酚。该法反应历程为:第1步.在存在的酸性条件下,用二氧化锰或者重铬酸钠将胺氧化成为对醌;第2步,将对醌在酸性条件下。用铁粉将其还原成为1,4-二酚;第3步。经过滤、结晶、脱色制得成品。反应方程如下:

该法成熟、易于控制,且产率较高,但生成大量锰盐、铁盐和硫铵废液等,回收率低、污染环境、原料消耗大、生产设备费用较高。
1.1.4酚和丙酮法
酚和丙酮法(双酚a法)制备1,4-二酚生产方法反应历程大致为:第l步,在盐酸催化条件下,酚和丙酮反应生成双酚a;第2步,在碱性催化剂作用下,双酚a分解为酚和对异丙基酚;第3步,对异丙基酚被氧化成为1,4-二酚和丙酮。
1.1.5和丙烯法
该工艺大致如下:与丙烯烷基化反应,生成对位异丙和间位异丙。将对位异丙分离氧化为二异丙氧化物,催化分解为1,4-二酚和丙酮。

1.2清洁环保方法
随着经济的发展。对环保的要求也越来越高,新型环保的工艺向传统的合成工艺提出了挑战,并逐渐走向成熟发展。
1.2.1 酚羟基化法一过氧化氢羟基化
该法于20世纪70年代开发,现已工业化。反应历程为:在催化剂存在下,酚与过氧化氢反应生成1,4-二酚;经脱水、分离得到粗的1,4-二酚;后经过溶解、脱色、重结晶得到1,4-二酚。反应方程式如下:

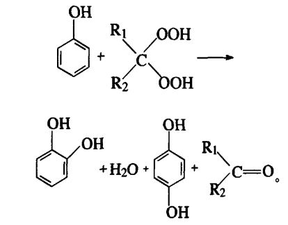
1.2.2酚羟基化法一过氧酸,过氧酮氧化法
该法又称为ube法,以el本ube公司的成功应用为首例。反应历程为:将、一定量的过氧化氢以及甲基异丁基酮反应生成过氧酮作为催化剂.将酚催化氧化生成1,4-二酚和邻二酚:后经分离提纯制得产物。反应方程如下:

注意事项
侵入途径:吸入、食入、经皮吸收。
危害:毒性比酚大,对皮肤、粘膜有强烈的腐蚀作用,可抑制中枢神经系统或损害肝、皮肤功能。
急性中毒:吸入高浓度蒸气,可致头痛、头昏、乏力、视物模糊、肺水肿等;误服可出现头痛、头晕、耳鸣、苍白、紫绀、恶心、呕吐、腹育、呼吸困难、心动过速、尺厥、谵妄和虚脱 ,严重者呕血、血尿、溶血性黄疸,甚至可致死。
慢性影响:长期低浓度吸入,可致头痛、头晕、咳嗽、食欲减退、恶心、呕吐等。皮肤可引起皮炎。
急性毒性:ld50320mg/kg(大鼠经口);人经口5000mg/kg,死亡。
刺激性:人经皮:250mg(24小时),轻度刺激。
亚急性和慢性毒性:动物亚急性中毒表现为溶血性黄疸、贫血、白细胞增多、红细胞脆性增加、低血糖、皮毛无光泽和明显的恶病质。
致突变性:微生物致突变性:鼠伤寒沙门氏菌2umol/皿。微核试验:人淋巴细胞75umol/l。性染色体缺失和不分离:人淋巴细胞6mg/kg。dna损伤:人骨髓500mol/l。
生殖毒性:大鼠经口低中毒剂量(tdl0):2500mg/kg(孕1~22天),致植入后的死亡率(51天,雄性),影响睾丸、附睾、输精管、前列腺、精囊等,对雄性生育指数有影响。
致癌性:iarc致癌性评论:动物不明确,人类无可靠数据。
参考文献
[1] 孔祥翔,费善栽.1,4-二酚生产工艺的技术进展忉.化工时刊,1998,12(1):19-21.
[2] 刘迎新,李新学,维雄辉.1,4-二酚合成方法的研究进展[j].化学通报,2004,67(12):869-875.
[3] 胡玉才,韩德红,齐曾红,等.酚催化氧化制1,4-二酚的两步法工艺[j].化学反应工程与工艺,2006,22(6):544-548.
[4] 拉思纳姆·j·马哈林哈姆,苏尼尔·阿什特卡,杰盖德什·泰姆皮.用于制备醌和1,4-二酚的方法:中国,1918101[p].2007-02-21.
[5] 宋健,王军波,鹿明,等.钛硅分子筛应用于二酚合成的研究[j].化学工业与工程,2002,19(2):159-162.
[6] 于剑锋,吴通好.邻二酚与1,4-二酚的生产与研究现状[j].精细石油化工,1997(6):28-35.
[7] 赵玉英,何沐光,刘景福.杂多酸(盐)在酚羟化反应中的催化活性[j].东北师大学报:自然科学版,1997(2):4l—44.



