用途及用法【1】
偶酰是重要的有机化工原料,同时可用于各种药物和光敏剂的合成、杀虫剂、食品包装的印刷油墨和低碳钢的缓蚀剂等。主要作为紫外线同化树脂和涂料的光引发剂,在有效波长范围内,其引发效能、固化速度、厚膜固体、抗杂质干扰及与颜料的配合等性能优于安息香醚类和二甲酮类。能适用于多种聚合物,如丙烯酸及其衍生物、乙烯类及不饱和树脂。用量为树脂或单体量的1%~10%。
合成
1. 结晶法
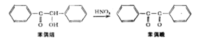
本实验将用氧化法从一个α一羟基酮,即偶姻制备偶酰。

使用诸如fehling溶液(碱性铜络合物)或铜的吡啶溶液之类的温和氧化剂,即可容易地完成这一氧化反应.在本实验中,将使用硝酸来完成这一氧化。
将10克偶姻和50毫升浓硝酸置于250毫升锥形烧瓶中,置混合物于通风橱内的蒸汽浴上加热,将混合物时时加以振摇直至氧化氮气体(红色)不再放出为止(约1小时)。另一种办法是,如果使用一套阱装置,则将混合物放在实验桌上加热,要在阱内加入氢氧化钠,使其与氧化氮气体作用,将反应混合物倾入150毫升冷的自来水中并剧烈搅拌,直至油状物完全结晶成黄色固体。将粗的偶酰真空吸滤并用冷水充分洗涤以除去硝酸。
用95%乙醇(4毫升/克)将产物重结晶,当将溶液冷却时用搅棒加以刮擦,如不这样做,溶液将变成过饱和,形成的晶体呈黄色针状。将混合物置冰浴中冷却使结晶完全,用bachner漏斗将晶体真空过滤,用清洁的玻塞或软木塞揿压晶体以除去过剩的溶剂。
将产物干燥;或放置空气中过夜,或置75℃的烘箱中约10分钟,称量偶酰的重量,计算百分产率,然后测定其熔点,纯偶酰的熔点为95℃,实测值常低于此值,其范围从低值84℃至高值92℃不等,凡熔点在这一范围内的产物,其纯度已足够供转化成二乙醇酸或四基环戊二烯酮之用。
2. 偶酰的绿色合成
在装配有搅拌器、回流冷凝管和空气导管的三颈烧瓶中,加入10.8 g 安息香和60 ml dmf( n,n-二甲基甲酰胺) ,溶解后按照下表加入co( salen) 催化剂、koh,水浴加热,通入空气进行氧化,利用薄层色谱跟踪反应进程。结束后,冷却到室温( 过滤,取出负载催化剂) ,调节反应液ph 值为3—4,加入150 ml水,即析出固体,抽滤,水洗。粗产品用80%乙醇重结晶,得氧化产物黄色针状晶体偶酰,进行hplc和1hnmr核磁共振波谱分析。

生产情况
偶酰作为紫外线固化型树脂的光敏剂是很有前途的。过去日本只是从别国进口一些作为试剂销售。
1972年日本黑金化成公司研制偶酰成功之后,作为紫外线固化树脂的光敏剂,进行了用途的开发工作,并已进入正式的市场开发。1976年时,该公司的能力为数百公斤/月,计划建立正式的生产装置。
用途与需求【3】
本品可用作紫外线固化树脂(u v树脂)的光敏剂。
u v树脂的开发很活跃,是为适应在涂料与印刷油墨领域限制使用有机溶剂而采取的一项措施。u v树脂的需求量还不很大,但由于可以快速干燥而明显加快作业速度,还可以缩小固化设备的面积而缩短作业线,因此是有发展前途的。
u v树脂的光敏剂,过去是用二甲酮(benzophenone)、偶姻及偶姻烷基醚等。现在日本生产二甲酮的公司是片山化学公司,生产偶姻及偶姻烷基醚的是和光纯药公司等。其中,偶姻烷基醚的需求量大,估计日本市场年需求量约6吨。
偶姻的特点是,紫外线敏化的波长范围广。偶姻在3400 a以下,偶姻烷基醚在3900 a以下,而偶酰在4,800a以下,可在很宽的波长区敏化,因此可用于厚膜树脂的固化,这是以往u v树脂光敏中所没有的特性。而且固化后没有气味,故适于作食品包装用印刷油墨等。
但是,本品固化光量强度要大,因此根据使用目的,可分为适合与不适合二种。可以敏化聚合的化合物有:丙烯酸及衍生物、甲基丙烯酸及衍生物、乙烯类、不饱和聚酯类、丙烯基化合物、衣康酸类、桂皮酸类等。其用量依树脂及用途而异,一般约为树脂量的1~10%,此时要同时添加胺类等光敏促进剂。
参考文献
[1]吕百龄主编,实用工业助剂全书,化学工业出版社,2001年08月第1版,第200页
[2] (美)d.l.帕维亚 g.m.兰普曼等著 丁新腾译,现代有机化学实验技术导论,科学出版社,1985年01月第1版,第223页
[3] 化学工业部科学技术情报研究所,世界精细化工手册,化学工业部科学技术情报研究所,1982年12月第1版,第554页



