背景及概述[1][2]
丙硫克百威(benfuracarb),又叫丙硫威。分子式c20h30n2o5s,化学名称n-[2,3-二 氢-2,2-二甲基并呋喃-7-基氧羰基(甲基)氨硫基]-n-异丙基-β-丙氨酸乙酯,红棕色粘稠液体,蒸气压26.7μpa(20℃), 相对密度1.171,闪点(闭式)114℃。20℃时水中溶解度 8mg/l,在、,丙酮,二氯甲烷,甲醇,正乙烷,乙 酸乙酯和玉米油等有机溶剂中可溶解50%以上。kow 20000(20~22℃ph7)。在54℃条件下30天分解0.5~ 2.0%。日光下,在玻璃板上降解,dt50为3小时。
在中性 和弱酸性介质中稳定,在强酸和碱性介质中不稳定。丙硫克百威是一种高效、广谱杀虫剂,是克百威的低毒化衍生物,具有内吸、触杀和胃毒作用。可广 泛用于防治水稻稻水象甲、蓟马、钻心虫、棉蚜、葱蝇、小菜蛾等,可以作为土壤处理剂防 治地下害虫和叶面害虫。但由于稳定性较差,残效短等问题,需要通过缓释颗粒剂解决这一 问题。
但是目前现有缓释颗粒剂制备技术存在膨润土农药负载率低的缺点,难以实现丙硫克 百威的控制释放,使其与病虫害的发生规律相吻合,达到安全、合理、经济、有效地使用农药的目的。
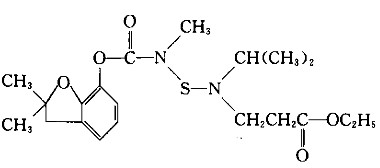
结构

应用[1]
广谱杀虫剂。一般每亩用5%颗粒剂 2~3千克,喷雾防治果树蚜虫用20%乳油1 500~3 000倍液。用 于旱地,施药时土壤或空气湿度大,有利于药效发挥;低温干燥影 响药效充分发挥。用于防治钻蛀性害虫,须掌握在害虫蛀入作物 之前的一定时间施药。
(1) 土壤处理:每亩用5%颗粒剂800~1 200克或10%乳油 400~600克作土壤处理,防治玉米害虫,甜菜及蔬菜上的跳甲、马 铃薯甲虫、金针虫、小菜蛾及蚜虫等。
(2) 种子处理:每100千克种子用20%乳油0.4~2千克拌种。
规格[1]
3%、5%、10%颗粒剂,10%、20%乳油。
使用方法[3]
1.水稻害虫:防治二化螟、三化螟及大螟 造成的枯心,在卵孵高峰期前,每公顷施用5%颗粒剂30~37.5kg,撒施。防治三化螟及大螟造成的白穗、虫伤株,在卵孵盛期,每公顷使用5%颗粒剂30~45kg,撒施。防治褐稻虱,白背稻虱等,在水稻孕穗期,每公顷施用 5%颗粒剂30kg,撒施颗粒剂时,田间保持水层3~4天,药效期可达一个月以上。防治稻象虫甲,稻卷叶螟,每公顷使用20%乳油2250~3750ml,兑水喷雾。
2. 棉花害虫: 防治玉米螟,在心叶末期与授粉期的玉米螟卵孵盛期,每公顷施用5%颗粒剂30~45kg。防治棉蚜,在棉苗移 栽时施于棉株穴,每亩用5%颗粒剂施1.2~2kg,防治 效果在药后30夫达90%,40天为70%左右。施药方法 用畜力播种耧安装一个颗粒剂施药部件,使颗粒剂与种 子同步施入土中或穴点播。
3. 甘蔗害虫:防治甘蔗螟虫, 在甘蔗苗期,代蔗螟发生初期,每公顷施用5%颗粒 剂45kg,撒施于蔗苗基部,并复土盖药,还可兼治蔗苗黑色蔗龟。
4. 玉米害虫:防治玉米螟,在心叶末期和授粉期 的玉米螟第二、三代卵孵盛期,每公顷施用5%颗粒剂30 ~45kg,各施药1次,防治效果达90%以上。
5. 甜菜害虫:防治甜菜金针虫、跳䖬、根咀等,每公顷使用5%颗 粒剂20~30kg,在甜菜播种时,随种同时施下。或在甜菜 苗基部开沟施下,再复土盖药。
6. 蔬菜害虫:防治菜蚜, 菜青虫,小菜蛾,二十八星瓢虫,葱蓟马及马铃薯甲虫等,每公顷使用20%乳油2250~3750ml,兑水喷雾。
7. 果树害虫:防治柑桔蚜虫,桃蚜,桃小食心虫等,使用 20%乳油300~400倍液喷雾。防治果树上各种蚧,在一, 二龄若虫期,使用20%乳油300~400倍液喷雾。
药理作用[3]
丙硫克百威属内吸性,广谱杀虫剂,对害虫有触杀作用,以胃毒作用为主。丙硫克百威是克百威 的亚磺酰基衍生物,它的n-取代基β-胺乙基酯是 通过硫原子和克百威连结,其对一些刺吸口器害虫的毒 力与克百威相近,而对一些鳞翅目害虫的毒力比克百威高,持效期与克百威相当,对哺乳动物的毒性大大降低。丙硫克百威有很快的内吸传导作用,可以被作物的根系吸收,向地上部分的茎叶传导,当害虫咀嚼和刺吸带毒植物的汁液或咬食带毒组织时,体内胆碱酯酶受到抑制,使害虫死亡。
毒性[3]
急性经口ld50:雄大鼠138mg/kg,雄小鼠 175mg/kg,狗300mg/kg。大鼠急性经皮ld50大于 2000mg/kg。大鼠吸入lc50为0.24mg/l。小鼠皮下注射 ld50大于288mg/kg。对兔皮肤无刺激作用,对眼睛有轻 度刺激作用。大鼠,狗2年饲喂试验中无作用剂量分别 为1.5mg/kg·天,2.5mg/kg·天。鸡急性经口ld50为 92.2mg/kg。对鸟低毒。鱼毒lc50(48小时)0.65mg/l。 水蚤lc50(3小时)大于10mg/l,蜜蜂的毒性为 0.28μg/头。
注意事项[3]
1. 颗粒剂在作物上要经溶解吸收过程,施 药适期应较液剂提前3天左右,尤其对钻蛀性害虫,应 在蛀入作物前施药,在土壤干旱或湿度低时,抗旱灌水 有利于药效发挥。
2. 稻田施用丙硫克百威不能与敌稗混 用,施用敌稗应在丙硫克百威施用前3~4天,或施用后 一个月进行。
3. 安克力中毒时可能出现头痛、出虚汗、无力、胸部压抑、视力减退、肚子痛、腹泻、恶心、呕吐、全身 痉挛等症状。在使用过程中,如有药剂触及身体,应立即 脱去衣服用肥皂水冲洗沾染的皮肤;如有药剂溅入眼中,应立即用大量清水冲洗,如误服中毒,应立即饮1~2 杯清水,用阿托品解毒。
质量标准[3]
安克力5%颗粒剂由有效成分安克力和载 体、溶剂、染色剂组成,外观为蔚蓝色细粒。常为 1978mg/kg,急性经皮ld50>2000mg/kg。制剂对鱼类毒性很低,鲤鱼tlm为117mg/l。
分析方法 [3]
产品分析用hplc或gc。残留物及其代谢物,克百威类似物用gc测定,土壤残留物用hplc测 定。
降解代谢[3]
丙硫克百威在动物体内代谢很快,代谢后 随尿排出。在土壤及植物中易转化为克百威和3—羟基克百威,而后是克百威的水解,氧化,环断裂等。在土壤 中半衰期为2~30天。在植物上半衰期为10天左右。
允许残留量 [3]
据国外介绍允许人体每日摄入量(adi) 为0.01mg/kg,在糙米中高残留量(mrl)为0.2mg/ kg,棉籽中为0.1mg/kg。5%颗粒剂在水稻中为0.5mg/ kg,稻米中为0.2mg/kg,蔬菜中为1mg/kg,水果中为 0.5mg/kg。
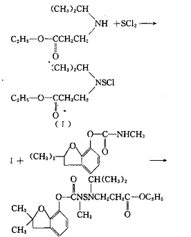
制备[3]
n-异丙基-β-丙氨酸乙酯与二氯化硫反应,生成物与克百威反应,即制得丙硫克百威。反应式如下:

主要参考资料
[1] 农药经营使用知识手册
[2] 李涛;李敏;高恒旭;陈九星;欧晓明;杜升华.丙硫克百威缓释颗粒剂及制备方法 . cn201310712284.2 ,申请日2013-12-20
[3]农药商品大全



