【背景及概述】【1】
间二酚,称雷琐酚和酚的性质相似,在常温下是水溶性的无色结晶,可燃,有甜味,易溶于水、醇和醚,难溶于氯仿,四氯化碳和,具有微弱的特殊气味。间二酚呈弱酸性,但酸性强于碳酸,长期曝露在阳光与空气中,容易逐渐变成浅红色。
间二酚是一种重要的精细有机化工原料,广泛应用于农业、染料、涂料、医药、塑料、橡胶、电子化学品等领域。绝大部分的间二酚成品用来合成树脂和粘合剂。间二酚一甲醛树脂和间二酚一申醛一乙烯毗睫树脂这类粘合剂在中性的情况下不加强酸或强碱催化剂,于室温即可固化,它们不受水的侵蚀,也不引起被粘合物的分解,可广泛用于轮胎工业方面,用以粘合纺织材料和橡胶。同时,它们也可粘合纺织纤维、木材、轻金属、陶瓷、塑料和弹性体等,因此在层压木材、船体结构、房顶构架和层压纸制造方面也有其特殊重要的用途。由于间二酚与甲醛的缩聚反应和固化速度很快,因此间二酚常用于酚醛树脂和尿素树脂的改性。在上述树脂的塑模中加入少量间二酚,可使树脂固化加速,产品具有更好的抗水性能。
间二酚是重要的染料中间体,由此合成一系列的偶氮染料、荧光染料。间二酚与邻二酚、胺类和氧化剂混合,可用作毛皮染色和染发剂。间二酚在感光工业上用作显影剂。间二酚作为中间体,可合成间氨基酚、对氨基水杨酸、间二酚甲酸盐、间二酚水杨酸盐、间二酚的醚类等。其中间氨基酚是抗结核药的起始原料。间二酚具有一定的杀菌作用,因而常用于制作软膏药物,外敷治疗真菌感染。一般来说,间二酚的衍生物比间二酚本身的毒性小,因此像间二酚一醋酸盐或一正己基间二酚常被用作肠道消毒剂。另外,由于间二酚及其衍生物能与许多物质形成有色沉淀或溶液,因而可用作化学分析试剂。
【形状】
本品为白色或类白色的针状结晶或粉末;微有特臭;在日光或空气中即缓缓变成粉红色。本品在水或乙醇中极易溶解,在或甘油中易溶,在三氯甲烷中微溶。
熔点:本品的熔点为109~111℃。
【适应症】【2】
本品具有角质促成与角质溶解作用,且具有抗真菌与抗细菌作川。常用于湿疹、银屑病、脂溢性皮炎、痤疮与体股癣等病,高浓度也常用鸡眼、胼胝、寻常疣等。
【药理作用】【3】
本品0.25%~1%为角质促成剂,5%为角质松散剂,20%~40%为剥脱剂,40%以上为腐蚀剂。本品有杀细菌及真菌的作用,作用强度为酚的1/3,兼有止痒作用,对皮肤的刺激性小。易溶于水、醇及其他溶剂.有抑制细菌和真菌作用。不同浓度对皮肤作用.低浓度(0.5%~1%)能止痒和促进角质形成,浓度5%使角质松解.高浓度(20%~40%)有角质剥脱作用.浓度40%以上有腐蚀作用。
【制剂与规格】 间二酚洗剂:3%;间二酚软膏:2%~20%。
【用法用量】
0.25%~5%水溶液作湿敷,用于急性湿疹、皮炎的渗出糜烂期;1%~10%软膏、洗剂或复方搽剂治疗湿疹、癣病、银屑病、痤疮及脂溢性皮炎等;2%~5%溶液可用作创伤、尿道冲洗剂。
【不良反应】【4】
可引起接触性皮炎。因本品可以经皮肤或溃疡面吸收,在婴儿和幼儿不宜高浓度、大面积使用;中毒症状有腹泻、恶心、呕吐、胃痛、头昏、剧烈或持续头痛、疲乏或软弱、易激动或烦躁、昏沉嗜睡、盗汗、心动过缓、呼吸短促;儿童在伤口应用本品可发生正铁血红蛋白血症。避免接触眼睛。本品可使淡色发染黑,用药后数天内可使皮肤发红和脱屑。本品与肥皂、清洁剂、痤疮制剂、含有酒精制剂或维a酸等共用,可引起皮肤过度刺激或干燥。
【注意事项】【5】
个别患者涂药后局部出现发红、刺痛、皮肤干燥等,通常1—2分钟消退。本品溶液加维生素c(0.5%—1%;哥山止其氧化变色,本品刺激性小,可通过创面和破损皮苎吸收,引起粘液水肿。本晶禁与亚硝酸乙酯醑,铁盐、相互作用本品与安替比林、樟脑、水合氯醛、薄荷脑、酚:邻三酚等共研,则液化或软化。本晶遇水合氯醛、漂苎荔云铁乙等,生成有色化合物。银,汞、铜盐类可被本品还旧,[制剂与规格]间二酚:0.25%-1%角质促成剂;5%角质松解剂;20%-40%剥脱剂;40%以上腐蚀剂;0.25%—5q6水溶液;1%—10%软膏或洗剂。
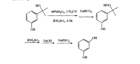
【制备】【6】

(1)实施例1:3一(2一过氧化氢基一2一丙基)酚的制备
将1.1 g 60%(重量)的过氧化氢水溶液和5 mg浓加到20 ml溶有3 一(2一羟基一2一丙基)酚的乙腈溶液中,反应在25℃下进行4.5 h。反应完毕后,用过量(1 g)的碳酸氢钠中和反应混合物,过滤,减压下浓缩 滤液,向浓缩物中加入50 ml的,将溶有产物的醚分散体系加到水中,由此 将反应产物保留在醚相,而将副产物转移到水中,减压蒸馏蒸去醚,浓缩该醚萃 取物。 残留的固体产物在氯仿中重结晶,得到1.2 g无色的晶体,纯度98.4%(基 于dsc),产率为77%。室温下,将0.5 g 3一(2一过氧化氢基一2一丙基)酚溶于10 ml乙腈中,向其中加入0.59 1%水溶液。将该溶液在室温下放置l h,用液相色谱方法可测出该氯氧化物在该溶液中的保留值为98%。
(2)实施例2:间二酚的制备
16.8 g的3一(2一过氧化氢基一2一丙基)酚溶于20 ml的中,向其中加入5 mg浓,加热回流15 min。反应完毕后,中和该反应混合物,通过_r 液相色谱分析发现该反应混合物中含有问二酚。向反应混合物中加入亚氢钠以分解其中的过氧化物,滤去沉淀,减压蒸馏蒸去溶剂,蒸馏残余物得到0.77 g问二酚,产率为70%。
(3)实施例3:3一(2一过氧化氢基一2一丙基)酚
2.8 g 60%(重量)的过氧化氢水溶液(50 mm01)和0.2 g加到20 ml溶有1.34 g(10 mm01)的间一异丙烯基酚的乙腈溶液中,反应在40℃下进行30 min。反应过后用液相色谱分析反应混合物中含有0.50 g(3 mm01)的3一(2一过氧化氢基一2一丙基)酚。
(4)实施例4:3一(2一过氧化氢基一2一丙基)酚的制备
2.8 g 60%(重量)的过氧化氢水水溶液(50 mmo1)和1.25 g磷酸加到20 ml溶有1.34 g(10 mmo])的间一异丙烯基酚的乙腈溶液中,反应在50 。c下 进行24 h。反应过后,用液相色谱法分析发现反应混合物含0.59 g(3.5 mmo1)的3一(2一过氧化氢基一2一丙基)酚。
(5)实施例5:3一(2一过氧化氢基一2一丙基)酚的制备
2.8 g 60%(重量)的过氧化氢水水溶液(50 mmo|)和1.259磷酸加到20 ml溶有13.4 g(100 mmo1)的问一异丙烯基酚的乙腈溶液中,反应在50℃下进行1 h。反应过后,用液相色谱法分析发现反应混合物含1.68 g(10 mmo1)的3一(2一过氧化氢基一2一丙基)酚。
【参考文献】
[1]田璇. 间二酚的低污染合成工艺研究[d].南京理工大学,2007.
[2]魏太星,魏经汉主编,医生专用药物手册,河南科学技术出版社,2015.01,第1562页
[3]茅伟安主编;张健,吴建华,刘继勇等副主编;茅婧怡,王莉,张立超等编著,皮肤病用药速查手册,金盾出版社,2014.04,第29页
[4]师海波,王克林主编,新临床药物手册,军事医学科学出版社,2008.1,第1001页
[5]李新芳总主编 崔东斌 李新芳主编,皮肤科药物速查手册,河北科学技术出版社,2005年06月第1版,第237页
[6]温辉梁,刘崇波主编,世界新药专利生产技术,江西科学技术出版社,2007.3,第330页



