DBU催化剂_环氧促进剂DBU_延迟催化剂DBU_催化剂网 催化剂百科 扎贝特的作用有哪些_凯茵工业添加剂

扎贝特的作用有哪些_凯茵工业添加剂

广告位

【背景及概述】[1][2]

高甘油三酯血症(hypertriglyceridemia,htg)是一种异族性甘油三酯蛋白合成 或降解障碍。指血中的甘油三酯以乳糜微粒和前β-脂蛋白中含量高,它与动脉粥样硬化 的形成有很大的的关系。甘油三酯的升高与冠心病的发生有着重要的意义,血清甘油三酯 升高的价值比胆固醇为大,心肌梗塞尤为明显,82%的心肌梗塞者有高甘油三酯血症,而高 胆固醇者仅有47%。原发性高脂血症、肥胖症,动脉硬化、阻塞性黄疸、糖尿病,极度贫血、肾病综合症、胰腺炎、甲状腺功能减退,长期饥饿及高脂饮食后均可增高。饮酒后可使甘油三 酯假性升高。

高脂血症主要是指血胆固醇和/或甘油三酯升高高脂血症是人体脂肪代谢异常的 表现主要分为三类高胆固醇血症高甘油三酯血症和混合性高脂血症。混合型高脂血症是高脂血症的一种临床类型,它是指血清总胆固醇和甘油三酯的 含量均高,即总胆固醇。对于此类疾病,市场上的扎贝特类药物具有很好的治疗效果。

扎贝特(bezafibrate),化学名为2-[ 4-[ 2-[ (4-氯甲酰基)氨基] 乙基] 氧基] -2-甲基丙酸,是第二代氧类调脂药,由德国boehringermannheim公司研发,1979年在西德和瑞士上市,我国于2000年批准生产。大量临床研究表明,其在降低三酰甘油、升高高密度脂蛋白胆固醇方面效果明显,主要用于高三酰甘油血症、高胆固醇血症、混合型高脂血症治疗。近年来研究发现,联合应用辛伐他汀和扎贝特治疗混合性高脂血症患者,主要血脂参数达标效果优于单药治疗,并且贝特类药物是过氧化物酶体增生激活受体(ppars)的配体,ppars介导的效应主要包括脂类代谢、免疫反应等,因此,动脉粥样硬化、肥胖、糖尿病、肿瘤以及炎症性疾病等的发生、发展与ppars有密切关系,ppars将极有可能成为这些疾病治疗的新靶点。

【适应症】[3]

扎贝特可作为一线降脂药物,适用于各种原因引起的高脂血症,尤其适用于高脂血症合并糖尿病患者。

【规格】[3]

片剂:每片200mg;缓释片:每片400mg。

【用法用量】[3]

口服:每次200~400 mg,每日3次。血脂降低后减量维持。

【药理作用及作用机制】 [4]

扎贝特为纤维酸类降脂药。扎贝特扎贝特可降低胆固醇,对胆固醇合成限速酶——甲基羟戊二酰辅酶a还原酶有抑制作用,使胆固醇合成减少;增加低密度脂蛋白分解、代谢,从而使胆固醇降低。还能降低甘油三酯,通过抑制乙酰辅酶a还原酶,使甘油三酯合成减少;活化肝脏的脂蛋白酯酶使甘油三酯清除增加,从而使甘油三酯降低。可提高血清高密度脂蛋白浓度,并通过减轻机体胰岛素抵抗使血糖水平轻微下降。

【药代动力学】[3]

口服易吸收,tmax为2h,t1/2为2h,pbp为94%~96%,约有半量以原形从尿中排出,其余代谢产物则由粪便排出。

不良反应】[4]

 扎贝特副作用较小,长期应用可有胃肠道症状,如恶心、呕吐、腹胀,偶有皮疹、血沉加快、肝区疼痛及血清转氨酶升高等。

【孕妇及哺乳期妇女用药】[6]

扎贝特在妊娠期的安全性未确立,故孕妇不推荐使用。扎贝特是否分泌进入乳汁不详,故哺乳期妇女不宜服用。

【儿童用药】[6]

儿童服用扎贝特的疗效及安全性,目前尚无实验研究加以证实,故不宜应用。

【老年用药】[6]

老年人应根据肝肾功能状态调节用药剂量。如有肾功能不良时,须适当减少扎贝特用药量。

【药物相互作用】[6]

1)扎贝特可明显增强口服抗凝药的作用,与其同用时应注意降低口服抗凝药的剂量,经常监测凝血酶原时间以调整抗凝药剂量。其作用机制尚不确定,可能是因为扎贝特能将华法林等从其蛋白结合位点上替换出来,从而使其作用加强。

2)扎贝特与其他高蛋白结合率的药物合用时,也可将它们从蛋白结合位点上替换下来,导致其作用加强,如磺丁脲及其他磺脲类降糖药、妥英、呋塞米等,在降血脂治疗期间服用上述药物,则应调整降糖药及其他药的剂量。

3)氯贝丁酸衍生物与hmg-coa还原酶抑制剂,如洛伐他汀等合用治疗高脂血症,将增加两者严重肌肉毒性发生的危险,可引起肌痛、横纹肌溶解、血肌酸磷酸激酶增高等肌病,应尽量避免联合使用。

4)扎贝特主要经肾排泄,在与免疫抑制剂,如环孢素合用时,可增加后者的血药浓度和肾毒性,有导致肾功能恶化的危险,应减量或停药。扎贝特与其他有肾毒性的药物合用时也应注意。

5)扎贝特能增加降糖药的作用。

【注意事项】[4]

1.孕妇、哺乳期妇女、严重肝肾功能不全者禁用。儿童慎用。

2.用药期间要定期检查肝功,如发现转氨酶升高者应立即停药。

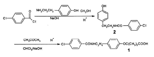
【合成】[1][5]

方法1:对羟基甲醛、盐酸盐、氯化物、氯仿为主要原料,通过酰化,缩合,等工序合成扎贝特:

方法2以对氯甲酰氯和对羟基乙胺为原料先合成n-对羟基乙基-4-氯甲酰胺,再在相转移催化下与丙酮、氯仿于中缩合得到扎贝特:

【主要参考资料】

[1] 吴洁, 固旭, 李东, 丁爱忠, & 戴晓阳. (2010). 降脂药扎贝特合成工艺改进. 中国新药杂志, (4), 311-312.
[2] 操铖;高煜.一种扎贝特片及其制备方法  cn201711250933.6 ,申请日2017-12-01.

[3] 常用新药手册.

[4] 全科医生药物手册.

[5] 扎贝特的合成研究.

[6] 扎贝特片说明书.

广告位
本文来自网络,不代表DBU催化剂网立场,转载请注明出处。若有侵权,请联系我们,马上删除处理!https://www.dbuchem.cn/18846.html

作者: admin

上一篇
下一篇
联系我们

联系我们

181-3619-1160

在线咨询: QQ交谈

邮箱: 34331943@QQ.com

工作时间:周一至周五,9:00-17:30,节假日休息

关注微信
微信扫一扫关注我们

微信扫一扫关注我们

关注微博
返回顶部
首页
找样品
产品
应用
搜索