【背景及概述】[1]
n-甲基-4-硝基乙胺盐酸盐,其cas号为166943-39-1,n-甲基-4-硝基乙胺盐酸盐化学式c9h13cln2o2,分子量209.28600,熔点222-227ºc,沸点335.8ºc at 760 mmhg,蒸气压8.36e-05mmhg at 25°c。如果吸入,请将患者移到新鲜空气处;如果皮肤接触,应脱去污染的衣着,用肥皂水和清水彻底冲洗皮肤,如有不适感,就医;如果眼晴接触,应分开眼睑,用流动清水或生理盐水冲洗,并立即就医;如果食入,立即漱口,禁止催吐,应立即就医。对保护施救者的忠告如下:将患者转移到安全的场所,咨询医生,如果条件允许请出示此化学品安全技术说明书给到现场的医生看。若泄露,小量泄漏尽可能将泄漏液体收集在可密闭的容器中,用沙土、活性炭或其它惰性材料吸收,并转移至安全场所,禁止冲入下水道;若大量泄漏,构筑围堤或挖坑收容,封闭排水管道,用泡沫覆盖,抑制蒸发,用防爆泵转移至槽车或专用收集器内,回收或运至废物处理场所处置。
【应用】
n-甲基-4-硝基乙胺盐酸盐为医药中间体,可用于合成其他具有一定生物活性的化合物如多非利特。多非利特为美国pfizer公司开发的针对心房颤动的口服抗心律失常药,具有较高的逆转为窦性心律的作用,2000年5月在美国首次上市,为第iii类抗心律失常药物。抗心律失常的多非利特公开于欧洲专利ep-a-0245997,其同族专利有us4959366(分案申请us5079248)、cn1014529等,该公开的专利中描述了多非利特的多种合成方法,但均存在原料不易得,工业化生产成本较高的问题。多非利特是一种结构上类似于抗心律失常药索他洛尔的甲烷磺胺衍生物。其药理 作用机制是通过抑制快速钾电流(ikr)增加动作电位持续时间(qt间期)而发挥ⅲ类抗心律 失常药物的效应。经1999年美国食品及药品管理局fda批准,并于2000年5月在美国首次上市。大量临床研究表明,多非利特可用于治疗和预防房性节律障碍和阵发性室上性心动过速,对于转复新近发生的心房颤动、心房扑动方面的疗效优于其他抗心律失常药。并可用于预防室性心动过速的发生,缓解心力衰竭患者病情。具有疗效显著、不良反应相对较小等优点,是一种作用强、选择性好的抗心率失常药。n-甲基-4-硝基乙胺盐酸盐为多非利特合成重要中间体,其应用举例如下:
1. 以n-甲基-4-硝基乙胺盐酸盐游离碱为原料,引入一个甲磺酰胺基团, 然后对接、还原,后在引入另一个甲磺酰胺基团,后制得终产品多非利特,反应方程式如下:

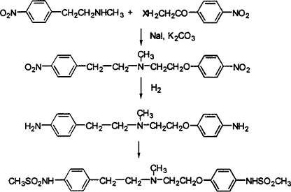
2. 以n-甲基-4-硝基乙胺盐酸盐游离碱为原料,先合成二硝基物,还原后再经甲磺酰化反应,后制得终产品多非利特,反应方程式如下:

【主要参考资料】
[1] 高传夫;高雪松 制备多非利特(dofetilide)的新方法. cn02117190.4,申请日2002-04-25



