大茴香酸_凯茵工业添加剂

广告位

大茴香酸
【概述】对甲氧基甲酸(p-methoxybenzoic  acid)也叫大茴香酸,对甲氧基甲酸是许多药物及香料的中间体。例如它是新型高效、低毒、智能改善药物,茴拉西坦的中间体,也是抗心律失常药物乙胺碘肤酮的重要中间体。
【简介】
中文名:对甲氧基甲酸
英文名:p-methoxybenzoic acid;anisic acid
别名:大茴香酸
分子式:c8h8o3
分子量:152.16
cas号:100-09-4;1335-08-6
结构式:
分子结构式
图1为大茴香酸分子结构式。
理化性质:从水中析出为无色针状结晶。相对密度 1.385。熔点110 ℃。沸点 275~280 ℃、170~172 ℃(1.333× 103 pa)。微溶于水,溶于乙醇、、氯仿、和。本品有刺激性。
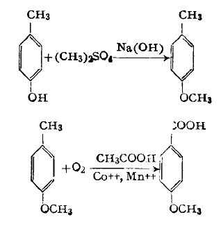
【制备】对甲氧基甲酸的一般制备方法是,采用对羟基甲酸在碱性条件下,用二甲酯进行甲基化,由于对羟基甲酸有梭基,因此甲基化时耗用较多的碱,反应后还需用酸酸化,对羟基甲酸价格也较昂贵。报道有由对甲酚直接氧化制备对羟基甲醛,因此,设计如下工艺合成对甲氧基甲酸。
反应机理如下:
合成路线
图2为大茴香酸的合成路线。
从理论上非常适合在连续化管道反应器中反应:溶解后的对羟基甲酸碱性水溶液与二甲酯分别从两个口同时进入一级管道反应器,在一级管道中流动混合的同时进行甲基化反应,在流出一级管道前可达到完全反应,然后溶液与液碱再同时进入加热的二级管道反应器,在二级反应器中进行皂化反应,反应完全后的溶液集中收集至酸化釜,进行酸化、分离,得到对甲氧基甲酸。传统工艺分多步反应,操作控制较繁琐,釜内物料不易混合,反应速率较慢,且转移过程易受外界污染,为了充分反应,二甲酯原料都远超理论量。本工艺利用多个管道反应器,采用连续化管道反应器,原料可少量、连续的进行反应,过程易控制;同时也可对原料配比优化,达到充分反应,极大缩短了反应时间,产能有所提高 ;整个反应过程从原料进入到成品产出都处于密封环境,过程无外界污染,有利于提高成品质量;另外从安全角度,由于微量反应,过程简单易控,大大提高了安全系数。
【同分异构】甲氧基甲酸,相对分子质量152.16。有3种异构体,即邻甲氧基甲酸、间甲氧基甲酸及对甲氧基甲酸。
邻甲氧基甲酸,又称邻茴香酸、水杨酸甲醚。从水中析出者为白色片状结晶。熔点101 ℃。沸点 200 ℃。微溶于冷水,溶于热水、 乙醇、、和氯仿。
间甲氧基甲酸,又称间茴香酸。无色结晶。熔点106~108 ℃。沸点 170~172 ℃(1.333×103 pa)。不溶于水,溶于乙醇、。对甲氧基甲酸,又称对茴香酸。
【用途】三种同分异构体均可用作香料中间体、医药原料、消毒剂、有机合成中间体。

【参考文献】
[1]颜廷帅,杨巧梅. 连续化管道反应器制备对甲氧基甲酸[j]. 化工设计通讯,2017,43(02):198+202.
[2]孟祥军,张宝发,葛欣,汪玉环. 对甲氧基甲酸的制备[j]. 化学世界,1995,(02):83-84.
[3] 安家驹 主编;包文滁,王伯英,李顺平 合编.实用精细化工辞典.北京:中国轻工业出版社.2000.第353-354页.

广告位
本文来自网络,不代表DBU催化剂网立场,转载请注明出处。若有侵权,请联系我们,马上删除处理!https://www.dbuchem.cn/18761.html

作者: admin

上一篇
下一篇
联系我们

联系我们

181-3619-1160

在线咨询: QQ交谈

邮箱: 34331943@QQ.com

工作时间:周一至周五,9:00-17:30,节假日休息

关注微信
微信扫一扫关注我们

微信扫一扫关注我们

关注微博
返回顶部
首页
找样品
产品
应用
搜索