焦性没食子酸_凯茵工业添加剂

广告位

【背景及概况】[1][2][3]

焦性没食子酸是一种具有多种用途的化学试剂和化工原料,广泛用于医药合成、染料、食品、农药及电子产品等,作为显影剂、热敏剂、高分子材料的助剂以及化学分析试剂等,且在某些领域是其他产品不能替代的。目前生产焦性没食子酸的主要原料是没食子酸。没食子酸是由林产品五倍子或塔拉经水解制得的。五倍子是我国特产,质好、量多(产量约占世界产量的1/4)。因而做好五倍子的深加工有很大的经济效益和社会效益。

焦性没食子酸是一种重要的有机精细化工产品,广泛应用于化工、有机合成、印染、分析、食品、医药、农药等领域。主要用于氧吸收剂、照相显影剂和热敏剂、放射性元素捕集剂、染料媒染剂、金属盐还原剂、中性电镀、氯丁橡胶硫化和pvc聚合釜添加剂,食品包装、合成树脂的抗氧剂。如以心脑浸液血琼脂培养基,采用焦性没食子酸法对蜂胶抑制幽门螺杆菌的作用进行了研究,取得了理想的效果,且该方法具有操作方便,费用低廉等优点。幽门螺杆菌感染是一种很常见的慢性细菌感染,它是慢性胃炎、消化性溃疡的主要致病因素。该方法费用低廉而疗效较好,符合我国的国情和民情,具有很大的使用价值。

【特性及结构】[4][5]

本品为白色有光泽结晶,熔点131~134℃,沸点309℃,相对密度1.46,在水中ph =5.4时uvλmax2. 88nm。易溶于水、醇、醚,微溶于、氯仿和二硫化碳。加热能升华。露光或在空气中会变成褐色,当溶液呈碱性时,很快吸收氧而变色。本品有毒,毒性ld50789mg/kg(老鼠口服)。具有极强的还原性,也可发生环上的取代反应。

【质量标准】[4]

【生产工艺】[2][4]

焦性没食子酸的制备方法很多,主要分为两大类:一类是通过林产品化学加工,从五倍子单宁或塔拉单宁得到的没食子酸受热脱羧后生成焦性没食子酸;另一类是通过化学合成的方法得到焦性没食子酸

1. 通过林产品化学加工

1)以没食子酸为原料制备焦性没食子酸:没食子酸经脱羧、提纯制得焦性没食子酸。目前工业上常采用的脱羧方法有:生物脱羧、常压催化脱羧和减压催化脱羧。反应式如下:

2)以塔拉为原料一步法制备焦性没食子酸:采用以塔拉粉为原料一步法制备焦性没食子酸,产品可达试剂级标准。制备工艺:将塔拉粉与水按1∶3(g∶ml)的比例,质量为塔拉粉20%左右的氧化钙,做成石灰膏置入耐压反应器中,搅匀,加盖密封,放入烘箱中,慢慢升温至200℃,保温3h,反应完毕后降温,加入盐酸脱羧,过滤去渣,然后再用萃取,酯层蒸干。残留物用提取,得粗品,再经脱色精制,得到白色的针状晶体焦性没食子酸。一步法大大缩短了工艺流程,操作简便,投资减少,生长周期短,而且使用的原料价格更加便宜,可获得较大的经济效益。

2. 化学合成法制备焦性没食子酸

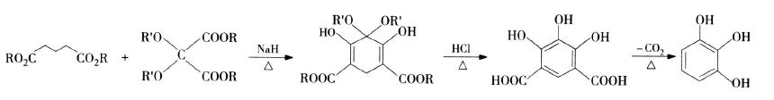
1)hurd合成路线:hurd和shipchandler在20世纪70年代首次用化学方法合成了焦性没食子酸。该方法以脂肪酸酯(如戊二酸酯)为原料,在催化剂存在下缩合环化反应,环化产物在氯化氢条件下水解,脱羧生成焦性没食子酸。反应方程式如下:

2)以环己酮为原料合成焦性没食子酸:由环己酮先氯化制取2,2,6,6-四氯环己酮,然后催化水解制取焦性没食子酸,该工艺过程简单,原料来源广,很多科研机构对该工艺进行了较广泛的研究。通常选用ccl4或石油醚为溶剂,氯化催化剂选用socl2、seocl2,水解催化剂选用吗啉、柠檬酸盐等。两步收率可达79.7%。反应方程式如下:

3)以环己烯为原料合成焦性没食子酸:日本对该工艺进行了系统的研究,获得了多项专利。以环烷酸钒为催化剂将环己烯用空气氧化,然后水解得1,2,3-环己三醇,在惰性气体保护和催化条件下脱氢,即生成焦性没食子酸。反应式如下:

4)以间二酚为原料合成焦性没食子酸:间二酚在六氟丙酮中用浓双氧水或过氧有机酸羟基化,可制得焦性没食子酸和1,2,4-三羟基。据文献[12]报道:将0.5mol间二酚加热到110℃ ,慢慢滴加42g 22%的过氧丙酸,升温120℃。反应放热结束后继续搅拌45min,制得焦性没食子酸2.5g,1,2,4-三羟基9.2g。

5)以对-叔丁基酚为原料合成焦性没食子酸:对-叔丁基酚溴化生成2,6-二溴- 4-叔丁基酚,然后将溴化产物甲氧基化生成2,6-二甲氧基- 4-叔丁基酚,再用氢溴酸脱烷基和水解,能够以高收率制得焦性没食子酸。

【应用】[2][4][5][6]

本品用作乙烯及聚乙烯的阻聚剂,还用于制备金属胶状溶液、电影胶片的黑影剂、医药及染料等。在气体分析中用作氧的吸收剂,在化妆品方面用于扑粉、护发剂、染发剂等。

1. 在分析中的应用

研究发现五价钒与焦性没食子酸在ph值为6.6的缓冲溶液中能生成有色络合物,且此络合物可被阴离子交换树脂吸附。在此基础上,建立了树脂相光度法测定钒的方法。测定结果的相对标准偏差(rsd)(n= 5)值小于3%,回收率在98.6%~102.6%之间。用液氯合成盐酸时,盐酸合成炉的灯头、视镜短节及空气冷却管腐蚀严重。对液氯尾气进行了分析研究表明是其中含氧量过高造成的。在分析过程中用焦性没食子酸钾测定氢氧化钠吸收后尾气中的氧,氧含量高体积比可达20%。这对防腐有很大的帮助。研究用充入氮气和放置皂化过夜的方法同时测定饲料添加剂中的维生素a、d3、e的含量。在试样中加入抗氧化剂焦性没食子酸、乙醇和氢氧化钾溶液后充入氮气,在密封避光条件下放置24h进行充分的皂化,再经纯化用高效液相色谱仪进行分析。该法具有回收率高、重复性好、结果准确可靠,且相对较为简便等优点。

2. 在合成方面的应用

研究以焦性没食子酸为原料,经甲醚化、claisen重排。碘化氢加成和wurtz反应成功合成了天然化合物二芳基丁烷类木质素,该化合物是从智利的porlieriachilensis的枝茎中分离得到的一个与二芳基丁烷类木质素抗氧化活性相当的物质。从焦性没食子酸结构可知,含有3个供电子基团羟基,这使环活性增强,很容易被酰化剂酰化。其主要用来合成多羟基二甲酮类产品,该类产品是一类重要的有机中间体,广泛应用于塑料、树脂、涂料、合成橡胶、感光材料、食品、药品及化妆品等领域,其应用领域和范围也在不断扩展,市场需求正在迅速增加。可用焦性没食子酸合成的多羟基二甲酮类代表产品有2,3,4,4′-四羟基二甲酮、2,3,4-三羟基二甲酮,南京龙源天然多酚合成厂已工业化生产该产品。以焦性没食子酸、一氯乙醇和氢氧化钠为原料,以三氯甲烷作溶剂,用三丁基乙基乙酯铵作相转移催化剂,合成1,2,3-三羧基甲氧基。该产品是一种优良的显色剂,具有较好的选择性。目前国内南京龙源天然多酚合成厂以焦性没食子酸为原料生产的化工产品还有1,2,3-三甲氧基、2,3,4-三甲氧基甲醛、2,3,4-三羟基甲醛等产品。 2,3,4-三甲氧基甲醛是用来合成洛美利嗪等治疗心血管疾病药物的重要中间体;2,3,4-三羟基甲醛是用来合成治疗帕金森综合症的苄丝肼的重要中间体。

3. 医药方面应用医药

焦性没食子酸为强还原剂,并具有杀真菌作用,常配成软膏,用以治疗银屑病、寻常性狼疮、各种癣症及其他寄生性皮肤病,常做成2%~3%的外用制剂,局部涂布。不良反应为大面积皮肤或皮肤剥脱表面易吸收中毒,引起全身中毒反应。有肾脏和血液系统的毒性,可使红细胞破裂,并有大量变性血红蛋白形成,尿中出现蛋白、红细胞与管型。对局部皮肤、粘膜有刺激性,皮肤接触后可染成棕色。使用时不能在大面积皮肤和皮肤剥脱表面上应用,以免吸收中毒。不能与碱类、重金属盐及氧化剂配伍。

4. 在饲料方面的应用

焦性没食子酸对小蚕摄食性和生长发育有显著促进效果,尤其是对3龄蚕的起蚕率和发育整齐度的影响更大。大气中的氧与饲料接触后,饲料中的脂肪及va、vd、ve、vb、胡萝卜素和部分氨基酸、蛋白质等会被氧不同程度地破坏,饲料中的铜、铁、锌、锰等微量元素也会加速氧化酸败,给饲料的品质、营养价值及安全性带来严重的危害。对柠檬酸维生素c和焦性没食子酸的组合抗氧化效果较强,对动物有明显的促生长作用,且价格便宜,无毒副作用,在饲料中有很大的使用价值。

5. 在农药方面的应用

鱼藤酮是从鱼藤植物中提取分离出来的一种杀虫活性物质,对害虫具有优良的触杀和胃毒作用,对环境无污染,害虫不易产生抗性,是一种优良的杀虫剂。但是其药效易受环境因素影响,在自然界中不稳定,易氧化降解和光解。研究发现用焦性没食子酸作为抗氧化剂和光保护剂,可以阻止其降解延长药效,且降解率与焦性没食子酸的用量成反比。很好地解决了鱼藤酮在环境中不稳定的问题。

采用焦性没食子酸与2,2-二甲基丙烷反应,再同甲基异氰酸酯反应制备口恶虫威,其总收率达68%。口恶虫威是一种属卫生和农业生产两用的氨基甲酸酯杂环类杀虫剂,属于高效、低残留农药新品种,符合国家农药发展的产业政策,也充分利用了我国的五倍子资源焦性没食子酸,该工艺具有较高的经济效益和社会效益。

6. 在其他方面的应用

焦性没食子酸在其他领域的应用也有报道,如以焦性没食子酸为原料可合成液晶体配体及一些新的成像材料,在冶金方面广泛用作浮选剂等。

【参考文献】

[1] 李玉新. 焦性没食子酸的性质及其制备方法[j]. 林产化工通讯, 1993 (4): 13-15.

[2] 杜运平, 张宗和. 焦性没食子酸的制备方法及应用[j]. 生物质化学工程, 2011, 45(1): 47-52.

[3] 李兰英, 李玉新. 焦性没食子酸的制备和用途[j]. 湖南化工, 1991, 21(4): 13-15.

[4] 温辉梁 主编.化工助剂.南昌:江西科学技术出版社.2009.第618-619页.

[5] 申泮文,王积涛 主编.化合物词典.上海:上海辞书出版社.2002.第552页.

[6] 吴世敏,印德麟 主编.简明精细化工大辞典.沈阳:辽宁科学技术出版社.1999.

[7] 实用药物手册.济南:山东科学技术出版社.1999.第1274页.

广告位
本文来自网络,不代表DBU催化剂网立场,转载请注明出处。若有侵权,请联系我们,马上删除处理!https://www.dbuchem.cn/18757.html

作者: admin

上一篇
下一篇
联系我们

联系我们

181-3619-1160

在线咨询: QQ交谈

邮箱: 34331943@QQ.com

工作时间:周一至周五,9:00-17:30,节假日休息

关注微信
微信扫一扫关注我们

微信扫一扫关注我们

关注微博
返回顶部
首页
找样品
产品
应用
搜索