【背景及概述】[1][2]
2-(4-氟基)-5-[(5-碘-2-甲基基)甲基]噻吩,cas号为898566-17-1,分子式为c18h14fis,分子量408.27200;psa为28.24000;logp为6.05800,密度1.533,沸点450.2ºc at 760 mmhg,闪点226.1ºc,折射率1.643。如果吸入,请将患者移到新鲜空气处;如果皮肤接触,应脱去污染的衣着,用肥皂水和清水彻底冲洗皮肤,如有不适感,就医;如果眼晴接触,应分开眼睑,用流动清水或生理盐水冲洗,并立即就医;如果食入,立即漱口,禁止催吐,应立即就医。对保护施救者的忠告如下:将患者转移到安全的场所,咨询医生,如果条件允许请出示此化学品安全技术说明书给到现场的医生看。若泄露,小量泄漏尽可能将泄漏液体收集在可密闭的容器中,用沙土、活性炭或其它惰性材料吸收,并转移至安全场所,禁止冲入下水道;若大量泄漏,构筑围堤或挖坑收容,封闭排水管道,用泡沫覆盖,抑制蒸发,用防爆泵转移至槽车或专用收集器内,回收或运至废物处理场所处置。
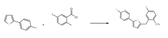
【制备】[1][2]
方法1:以2-(4-氟基)噻吩为原料,制备2-(4-氟基)-5-[(5-碘-2-甲基基)甲基]噻吩,反应方程式如下:

制备2-(4-氟基)-5-[(5-碘-2-甲基基)甲基]噻吩具体反应步骤如下:
步骤1:4-氟-基溴化镁
向mg(19.44g,0.8mol)中加入2-me-thf(80ml,0.1l / mole),缓慢搅拌。将1-溴-4-氟-(142.8g,0.816mole)溶于2-me-thf(200ml,0.25l / mole)中,并将25ml该溶液加入到mg混合物中。将所得混合物加热至约43℃,在约40分钟内加入剩余的1-溴-4-氟溶液,同时将混合物保持在回流温度。用2-甲基-thf(40ml)冲洗添加1-溴-4-氟的加料漏斗,并将清洗液加入反应液。将所得混合物在90℃下搅拌1小时,冷却至20℃,得含有4-氟-基溴化镁的棕绿色溶液。
步骤2:2-(4-氟基)噻吩
将2-溴噻吩(130.4g,0.8mol)溶于2-me-thf(240ml,0.3l / mole)中,并将所得混合物冷却至2℃,加入nicl 2(dppe)(2.11g,4.0mmol),在≤30℃下,加入步骤a制备的4-氟-基溴化镁溶液,得深红色溶液。然后将溶液在22℃下搅拌1.5小时,加入(91.7ml,1.6mol)的水(240ml,0.3l / mol)溶液,将所得混合物强烈搅拌15分钟,分层,用水(80ml,0.1l / mol)洗涤有机层,在75℃下真空浓缩,得到棕色油状的2-(4-氟基)噻吩。
步骤3:2-(4-氟基)-5-[(5-碘-2-甲基基)甲基]噻吩
向91.7g 5-碘-2-甲基甲酸(91.7g,0.35mol)中加入dcm(350ml,1l / mol),在22℃下搅拌,用加料漏斗向所得混合物中加入亚硫酰氯(42.5g,0.35mol),将所得混合物缓慢加热至回流温度(此时混合物变成无色溶液并观察到气体逸出),搅拌1小时,冷却至2℃。将氯化铝颗粒(56.0g,0.42mol)分别为加入到所得混合物中,在2℃搅拌15分钟,然后用加料漏斗加入溶于dcm(0.5l / mol)中的2-(4-氟基)噻吩(0.35mol,89.7%w / w),温度升高至20℃。将所得混合物在20℃下搅拌2小时,然后冷却至2℃,加入剩余氯化铝颗粒(107.3g,0.805mol ),并将所得混合物搅拌15分钟。用滴液漏斗在20分钟内,t≤20℃下加入乙腈(210ml,0.6l / mol),在5分钟内加入四甲基二硅氧烷(131.6g,0.98mol),之后将所得混合物缓慢加热至回流温度(42℃),保持回流3小时,使其冷却至22℃,然后搅拌16小时。在t≤35℃下30分钟内加入水(420ml,1.2l / mol),并将所得混合物强烈搅拌15分钟,分层,用水(70ml,0.2l / mol)洗涤有机层,然后在50℃下真空浓缩,得到2-(4-氟基)-5-[(5-碘-2-甲基基)甲基]噻吩粗品。
将2-(4-氟基)-5-[(5-碘-2-甲基基)甲基]噻吩粗品(62.0g,0.1mol)溶于(40ml)和2-丙醇(50ml)的混合物中,向所得混合物中加入活性炭(1.2g),并将所得混合物加热至回流,然后在回流下搅拌15分钟。将所得混合物用助滤剂过滤,用(10ml)洗涤滤器,合并滤液和洗液经16小时冷却至2℃,自发结晶。过滤沉淀物,用2-丙醇(50ml)洗涤, 60℃下真空干燥,得到固体2-(4-氟基)-5-[(5-碘-2-甲基基)甲基]噻吩。
方法2:以5-溴-2-甲基甲酸为原料制备2-(4-氟基)-5-[(5-碘-2-甲基基)甲基]噻吩,具体步骤如下:
步骤1:在20℃下,向250ml三颈圆底烧瓶中装入5-溴-2-甲基甲酸(22.5g,0.10mol),二氯甲烷(100ml)和dmf(0.25ml)。加入草酰氯(12ml,0.13mol)使得内部温度保持在25℃以下,观察到剧烈的气体逸出,将反应混合物在氩气下搅拌过夜,减压除去挥发物,将所得残余物(酰氯化合物)溶于dcm(50ml)中并在氮气下放置一旁。
步骤2:在单独的500ml三颈圆底烧瓶中加入alcl 3(15.0g,0.11mol)和100ml二氯甲烷。在冰浴中将悬浮液冷却至-10℃,然后加入2-(4-氟基)噻吩(18.2g,0.10mol),随后加入如上述步骤1中制备的混合物,30分钟后,除去冰浴并将所得混合物室温搅拌2-3小时,将所得混合物冷却至-120℃,缓慢加入水(20ml)、2n hcl(20ml)和庚烷(100ml)淬灭,形成沉淀,将所得混合物搅拌1-2h,然后过滤,得到黄色固体化合物,结构如下:

步骤3:向3.0l四颈圆底烧瓶中加入步骤2中制备的化合物(119g,0.317mol),三乙基硅烷(148ml,0.926 mol),二氯甲烷(700 ml)和乙腈(700 ml)。 在搅拌下将所得混合物在冰浴中冷却至-80℃,然后逐滴加入三氟合(115ml,0.915mol),温度不超过0℃。 将所得混合物温热至室温并搅拌过夜,减压浓缩,用ipa(1.0l)稀释,过滤并用水洗涤,得固体。 从ipa中重结晶固体,得黄色固体:

步骤4:将步骤3制备的化合物(100克,276.80 mmol),碘化钠(82克,553.59 mmol)和碘化铜(2.6克,13.84 mmol)加入1.0升四颈反应烧瓶,氩气下用(261ml),二甘醇二甲醚(56ml)和n,n'-二甲基 – 乙烷-1,2-二胺(2.7ml,27.68mmol)处理,并将所得混合物升温到110℃,反应完毕将所得混合物冷却至室温,然后通过celite过滤,用etoac洗涤,并用nh4oh萃取,将有机相干燥(na2so 4),过滤并浓缩,得到固体。过滤固体,用庚烷重结晶,得到灰白色固体2-(4-氟基)-5-[(5-碘-2-甲基基)甲基]噻吩:

【应用】[1][2]
2-(4-氟基)-5-[(5-碘-2-甲基基)甲基]噻吩可作为医药中间体,用于合成其他具有一定活性的化合物,如可用于制备具有抗钠依赖性葡萄糖转运蛋白(sglt)抑制活性的化合物,结构如下:

【主要参考资料】
[1] walter ferdinand maria filliers;janssen pharmaceutica n.v.;rudy laurent;maria broeckx;mitsubishi tanabe pharma corporation;patrick hubert j. nieste;masanori hatsuda;masahiko yoshinaga;mitsuhiro yada;christopher teleha .process for the preparation of compounds useful as inhibitors of sglt.us2010/99883a1, ;page/page column 40-41 ; us 20100099883 a1
[2] abdel-magid, ahmed f.; (us).chisholm, maureen; (us).mehrman, steven; (us).scott, lorraine; (us).wells, kenneth m.; (us).zhang-plasket, fan; (us).nomura, sumihiro; (jp).hongu, mitsuya; (jp).koga, yuichi; (jp). process for the preparation of compounds useful as inhibitors of sglt .wo2009/35969 a1, ; page/page column 77 ; wo 2009/035969 a1



