对溴腈又称为4-溴腈,是一种重要的溴系精细化学品,主要应用于医药及有机合成领域。
别 名:4-溴腈;p-溴腈
分子式:c7h4brn
cas no: 623-00-7
分子量:182.02
熔点:111-114℃
目前国内仍无关于对溴腈合成工艺的文献报道,更无生产厂家。本文探讨了由对溴甲醛与盐酸羟胺反应生成对溴甲醛肟、再与甲酸发生氰化反应得到对溴腈的合成路线,在国外原有合成路线的基础上,进一步优化各工艺参数,取得佳反应条件,为工业化生产提供必要的、真实可靠的操作工艺及参数。
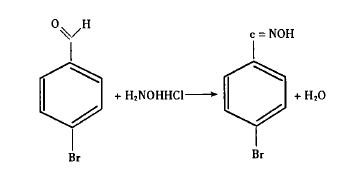
对溴甲醛肟的合成
将对溴甲醛、盐酸羟胺、水按一定比例加入带搅拌器、冷凝器及温度计的烧瓶中,加热搅拌,在70—75℃下反应1小时。冷却、过滤、干燥得白色固体,备下步实验用,经气相色谱检测固体纯度达99.2%。
对溴腈的合成
将对溴甲醛肟和经无水钠干燥过的甲酸按一定比例投入带搅拌器、冷凝器及温度计的烧瓶中,
搅拌下回流1.5 h,冷却,过滤,将滤饼水洗至中性,得到白色固体,经检测纯度达99.3%。多次甲酸滤液混合后常压蒸馏收集100℃-105℃馏份,再经无水钠干燥后可循环使用。
与原有方法的比较
原有文献报道的此合成方法,是在常温下将对溴甲醛、盐酸羟胺、甲酸(98%)一起在常温下搅拌半小时,再投人大量冷水中析出对溴腈,过滤而得到产品l7 j。此方法中有三个缺点:,在所给温度及时间下,反应不能完全进行,得到的产品含原料对溴甲醛,很难提纯。第二,一锅法反应要求甲酸含水量少,而市售的甲酸一般为85% 一89%,含水量很大,而98%的甲酸很难得到。第三,反应后混合物投人大量水中,致使回收甲酸较困难。反应混合物用约l0倍于甲酸质量的冷水稀释,过滤得到产品后的滤液甲酸含量很低,回收循环利用成本较高,不适合工业化。
针对以上不足,本文作了改进并取得了较好的结果。首先,本文将实验由一锅法改为两步进行,先得到对溴甲醛肟,烘干后,再与甲酸反应。对溴甲醛肟与甲酸的反应是可逆的,反应混合物中含水量减
少,反应平衡向产物方向移动。因此减少反应过程中的水量,会促进反应进行。由于对溴甲醛与盐酸羟胺反应能生成水,反应如下:

反应分两步后,通过烘干步产物对溴甲醛肟可消除这部反应生成的水对下步反应的影响,使甲酸在95.3%的纯度下就可以得到很好的结果。其次,在第二步实验结束后,用冰水冷却反应混合物,对溴腈针状晶体会析出,过滤,水洗,干燥后即得到收率98.8%,纯度为99.3%的产品,而甲酸滤液也很容易回收处理,可循环利用,大大节约了成本。另外,用无水钠处理市售的纯度89% 甲酸,使其符合本反应的要求,这也是本文的独创之处。钠经处理后可循环使用。
终合成结论
由对溴甲醛与盐酸羟胺反应生成对溴甲醛肟,再与甲酸发生氰化反应得到对溴腈的佳工艺
参数为:对溴甲醛:盐酸羟胺:甲酸=9.25:4.5:55(质量比),肟化反应温度为70—75℃,时间为60min,氰
化反应温度为回流温度,时间为1.5h。得到的对溴腈纯度为99.3%,收率为98.7%。
更多信息请参考:对溴腈的合成工艺研究



