背景及概述[1][2][3]
α-甲基乙烯(简称a-ms或ams),又称α-甲基乙烯或基异丙烯,是异丙法生产酚丙酮的副产物,一般为每吨酚副产0.045t α-ms。α-甲基乙烯是一种无色液体,具有刺激性臭味,分子中包含一个环和环上的烯基取代基,受热时容易发生聚合反应。α-甲基乙烯可用于生产涂料、增塑剂,也可用作有机合成中的溶剂。
合成方法[4][5]
合成路径1:
以异丙为起始原料,将异丙氧化,以过氧化氢异丙流,未浓缩所述过氧化氢异丙流的情况下,至少将一部分分离,并选择性地在贵金属催化剂下进行加氢反应,以制备异丙醇,浓缩包含有所述异丙醇的反应物,并在酸性环境下进行脱水反应,以制备α-甲基乙烯。
合成路径2:
从酚残废液中回收α-甲基乙烯。其装置图如下图所示。将酚残废液加入原料储存罐中,经过动力泵动力作用将酚残液经过管道输送至塔釜,在加热器加热作用下,将塔釜中的酚残液加热至170℃作用分离出异丙和α-甲基乙烯,通过反应塔输送至冷凝器中,在冷凝器作用下使其液化,通过管道输送至回流罐,分别以5:1的比例输送至反应塔和a罐中,继续加热至250℃分离出酚和乙酮,通过反应塔输送至冷凝器中,在冷凝器作用下使其液化,通过管道输送至回流罐,分别以5:1的比例输送至反应塔和b罐中。a罐中的异丙和α-甲基乙烯通过管道输送至塔釜中,在加热器的作用下,将塔釜中的成分加热至分离出α-甲基乙烯,通过反应塔输送至冷凝器中,在冷凝器作用下使其液化,通过管道输送至回流罐,分别以5:1的比例输送至反应塔和a罐中,从a罐中采集出产品。

应用领域[1][2][3][6][7]
1.有机合成中间体
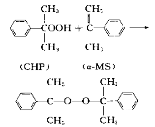
α-ms是有机合成的基本原料,可用来合成异丙、过氧化二异丙、对-枯基酚等。α-ms加氢制造异丙在1980年已工业化,采用钯/铝催化剂,反应在滴流床反应器中进行,α-ms转化率大于99%,副产物极少,因而该异丙可直接返回至酚丙酮生产线中。α-ms与过氧化氢异丙(chp)合成过氧化二异丙(dcp)是 dcp合成的另一条工艺路线,以酚作催化剂,反应温度l5~45℃,一步反应合成dcp,与传统的苄醇工艺相比,可省去制备苄醇的还原、水洗、提浓工序,其反应式如下图所示。α-ms与酚在酸催化剂作用下合成的对-枯基酚,是合成热塑性塑料和聚碳酸酯的原料。

2.共聚合单体
α-ms可作为树脂改性剂,与丙烯腈、甲基丙烯酸甲酯、马来酸酐等进行共聚,制造具有不同特性的共聚树脂,在七十年代已有几十种α-ms的共聚物出现,应用范围已经渗透到橡胶、塑料、胶粘剂、涂料等领域。其中,α-ms用于abs树脂的耐热改性是消耗量大的领域,市场上45%的α-ms被用于合成abs树脂。提升abs树脂耐热性和刚性典型的方法是用α-ms代替乙烯。 α-ms—an共聚物可以任何 比例与abs树脂相互溶。经玻璃化温度的测定及透射电镜观察,证明所制备的耐热 abs树脂具有微观两相结构,其中α-ms-an共聚物和abs接枝物中的 san 组成树脂连续相,橡胶粒子为分散相,α-ms—an共聚物提供它的耐热性和刚性,abs提供韧性。与通用级abs树脂相比,改性后的abs树脂其热变形温度提高lo~l5℃,制备耐热abs树脂的工艺流程如下。

3.合成香料
以 α-ms为起始原料,经缩合反应、羟异丙基化反应、氯甲基醚化反应和环化反应等,可制得性能优异、目前为广泛应用的佳乐麝香(其商品名称为 galaxolide)。佳乐麝香的合成路线如下图。其中间产物六甲基茚满醇经精制后,也是有价值的香料,它具有较强烈而持久的术香、琥珀、麝香样香气,可直接用作肥皂、洗涤剂、爽身粉等的调和香精的配制。五甲基茚满也可在三氯化铝催化 下进行friedel—crafts反应,用酰氯作酰化剂,生成具有木香、果香、琥珀、麝香型香料。五甲基茚满还可相继合成不少具有香料价值的茚满醇、茚满酮、茚满醚之类的新品种。除了佳乐麝香,α-甲基乙烯还可用来合成开司米酮(具有强烈、持久而又甜润的麝香木香香气)和龙葵醇(具有优雅的玫瑰香气)等香料。

4.合成低聚体
其能产生活性阳离子的固体酸作催化剂,α-ms可以以离子聚合的机理进行聚合,得到低分子量聚合物,聚合度与反应温度有密切的关系。α—ms低聚体可以明显改善塑料流变性能,显著降低聚烯烃、聚氯乙烯树脂的熔体粘度,已广泛用作塑料增望剂。线性二聚体可用作生产交联聚乙烯的交联助剂在丙烯酸涂料、粘合剂、abs、 乙烯、氯乙烯、氯丁与丁橡胶等的聚合反应中,线性二聚体作为分子量调节剂或链转移剂使用,它的作用与十二烷基硫醇相仿,可替代硫醇类分子量调节剂,并且没有碱醇类物质的难闻气味。在润滑油制造中,线性二聚体可增加润滑油的摩擦系数,六聚体可以用于石油润滑油的粘度改性剂。线性二聚体还可作各种空气清洁剂、除臭荆、肥皂、洗涤剂、洗头膏等品的优良填充剂。
主要参考资料
[1] 杨晓红. α—甲基乙烯的综合利用[j]. 高桥石化, 2000, 15(6): 37-39.
[2] 叶安瑜. 开发 α—甲基乙烯的用途和市场[j]. 石化技术, 1994 (3): 134-138.
[3] 梅来宝, 周卓华. α—甲基乙烯的利用[j]. 辽宁化工, 1994 (5): 18-20.
[4] 河丞柏,俞锡俊,曹东铉,α-甲基乙烯的制备方法,cn 201180037274,申请日2011-10-10
[5] 董其龙,范长生,李学斌,一种酚残液回收α-甲基乙烯的装置,cn 201720343796,申请日2017-04-04
[6] 顾锦涛, 朱中南. α—甲基乙烯合成过氧化二异丙工艺研究[j]. 化学世界, 2000, 41(10): 529-532.
[7] 郭秀春. α-甲基乙烯-丙烯腈共聚物改进 abs 树脂性能的研究[j]. 石油化工, 1989, 18(4): 220-226.



