背景及概述[1]
磺胺硝属于磺胺类的一种抗球虫药物,此药抑制球虫体内的二氢叶酸合成酶阻碍叶酸合成导致核酸合成受阻从而使虫体繁殖受到抑制,该药作用是在球虫无性繁殖阶段抑制第二代裂殖体的发育,对代裂殖体也有一定抑制作用,主要用于家禽球虫病的治疗与预防。研究表明,磺胺类药物在体内的作用时间和代谢时间较长,人体长期食用含有此类药物的食品会在体中蓄积,进而对人体机能产生危害,破坏人的造血系统,造成溶血性贫血,并导致病原体产生抗药性,发生过敏反应。为保障食用者的安全我国及欧盟规定肉类食品中的磺胺类药物的高残留限量(maximumresiduelimit,mrl)为:单一磺胺类药物25.0微克/kg,磺胺类药物总量100.0微克/kg。目前使用现代分析仪器对动物源性食品、化妆品及饲料中磺胺硝检测的方法文献报道很多,主要有液相色谱法和液相色谱.串联质谱法。液相色谱一串联质谱抗干扰能力强、选择性好检测灵敏度高,己被广泛应用于磺胺类兽药残留检测。
制备[2]

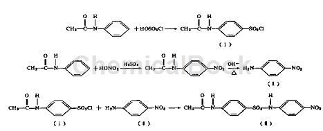
1. 对乙酰氟基磺酰氯的制备
在250ml干燥锥形瓶中加入26ml氯磺酸(0.39m01),玲至12~15℃,缓缓加入10.6g乙酰胺(0.078m01)升温至60℃,加热2h。将反应物移入160e碎冰中搅拌,析出物经抽滤,水洗、干燥得对乙酰氮基磺酰氯[1]淡粉红色,产率80%。
2.对硝基胺[ii]的制备
在100rnl烧杯中加入9ml浓,搅拌下将3.5g乙酰胺分次加入中,控制温在25℃以下,加完后用冰浴冷却至0~2℃将2ml浓硝酸滴加到乙酰胺冷溶液中,控制在5℃以下反应lh。将反应混合物缓慢移入盛有60毫升冰水的烧杯中,搅拌即有对硝基乙酰胺结晶析出,过滤,得粗品。将粗品移入饶杯中加入40rnl水,分次加入碳酸钠调节ph为l0,加热煮沸,使邻硝基乙酰胺水解。将混合物冷至50℃,抽滤、水承洗、干燥得对硝基乙酰胺白色结晶。将上述结晶加入100ml圆底烧瓶内,再加25毫升水和2.5毫升35%氨氧化钠溶液,升温至105℃回流1h。稍冷,将反应物移入烧杯中冷至40℃,析出结晶,抽滤、水洗、干燥得对硝基胺淡黄色针收结晶2.7g,产率75.5%。
3.磺胺硝的制备(两种合成方法)
(1)以n,n-二甲基胺作溶剂
在100rnl干燥圆底烧瓶中加入12.5rnl无水n,n-二甲基胺温热后,往烧瓶中加入3.4g对硝基胺[ii](0.025mol),待其全溶话,分次加入5.8g对乙酰氨基磺酰氯[1](0.0025rnol),回流lh。等反应液砖却后加入6mol/l盐酸20毫升即有晶体析出,抽滤、水洗、干燥得磺胺硝淡绿色粉末3.4g,产率40.6%。
(2)以冰醋酸作溶剂
在150ml干燥圆底烧瓶中加入20m1冰醋酸和3.0g对硝基胺(0.022m01),升温至120℃时加入6.3g对乙酰氨基磺酰氯(0.027mol),回流,分次加入无水2.3g(0.027mol]),反应lh后加50ml水搅拌,冷却、抽滤,先后用60%醋酸、5mol/l盐酸、水洗涤晶体、干燥得磺胺硝[1]黄色粉末,用乙醇重结晶得淡黄色粉末3.5g。产率47.9%。
主要参考资料
[1] 液相色谱.串联质谱负离子模式测定鸡肉中磺胺硝的残留
[2] 抗球虫新药乙酰磺胺硝的合成



