背景及概述[1][2][3]
邻二甲酸二环己酯(dchp)聚氯乙烯、丙烯酸树脂、聚乙烯等树脂的增塑剂,其特点是具有防潮作用,与其他增塑剂并用,可使制品收缩致密,防止水蒸气通过和增塑剂挥发。含有dchp的塑料制品表面光洁,手感好,dchp还可以改善树脂在热加工时的流动性,在合成树脂粘合剂中,可提高其粘合力、耐油性和耐久性,dchp应用于硝酸纤维素和一些天然树脂,可制造防潮涂料等。dchp的用量一般占增塑剂用量的10%~20%,用量过大,制品硬度增大。作为一种高档增塑剂,国内主要应用于防潮玻璃纸涂层和纸张防潮涂料以及高档塑料制品,且主要依赖进口。
合成方法[1][2]
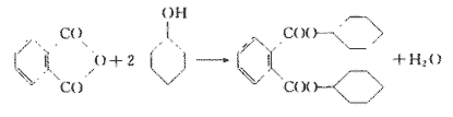
合成路径1:
以邻二甲酸酐和环己醇为原料,在常压下进行酯化反应,经脱醇、结晶,制得dchp产品。其反应路线如下。

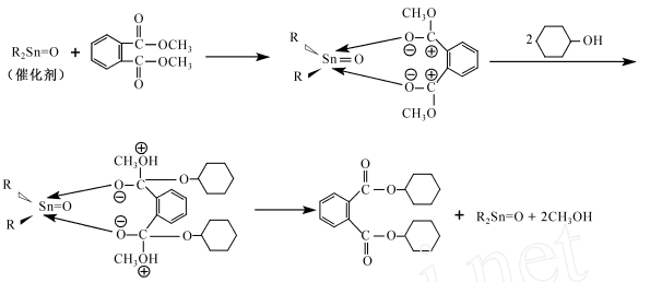
合成路径2:
将 32.6 ml (0.2 mol) 的邻二甲酸二甲酯,46.8 ml (0.44 mol) 的环己醇和1.4 g 有机锡加到 250 ml的三口瓶中,搅拌,升温至140 ℃~150 ℃,在此温度下反应 5 h,反应过程不断蒸出甲醇。减压蒸馏,将过量的环己醇及残存的甲醇除去。冷却得到粗产品,再用甲醇重结晶,得到白色固体粉末即为邻二甲酸二环己酯。其反应路线如下图所示。

应用领域[3][4][5]
1.制备塑料薄膜
该种塑料薄膜包含以下重量组分的组分:ps树脂180份,亚磷酸酯4份,邻二甲酸二环己酯6份,环氧大豆油3份,亚磷酸酯7份,丁腈橡胶7份,聚碳酸酯1.8份,微晶石蜡1.2份,钙锌稳定剂0.9份。将上述组分倒入反应釜中,搅拌50min,加热至130℃,加压1.0mpa,反应60min得到聚合熔体,将聚合熔体加入平行双螺杆造粒机中,245℃挤出造粒、干燥,得到聚酯切片,将聚酯切片在245℃熔融挤出、铸片缠卷,125℃双向拉伸、冷却定型,得到包装用抗老化ps薄膜。
2.制备颜料
按照质量分数配比称取乙醇100份,乙二醇单60份,硝酸纤维素40份,邻二甲酸二环己酯25份,甲基环己酮25份,醋酸丁酯5.5份,正丁醇6份,脱蜡虫胶35份,膨润土60份,三乙烯四胺0.5份,在反应釜中搅拌混合均匀即可。所制备的产品用于机织物快干颜料,其固含量38%,粘度65s,ph=7,贮存13个月不变质,光泽86%,耐磨性180次。
3.制备太阳能电池导电浆料
含邻二甲酸二环己酯的导电浆料由以下重量份的原料制得:a料50-52.4,b料10-15,硅烷偶联剂kh5401-2,磷酸三丁酯0.5-1,有机硅流平剂1-2,蓖麻油0.3-0.5,十二烷基磺酸钠0.2-0.4,邻二甲酸二环己酯0.4-0.6,这种导电浆料不含铅,完全符合环保要求,应用于太阳能电池的生产,在太阳能电池表面附着力强,电池光电转换效率高。
检测技术[6]
邻二甲酸环二己酯属于难挥发性邻二甲酸酯类(paes),沸点较高。paes对环境的污染已经受到到世界各国的普遍重视。其中,dmp(二甲酯)、dep(二乙酯)、dbp(二丁酯)、bbp(丁基卞基酯)、dnop(二正辛酯)、dehp(二-(2-乙基己基)酯)等已被美国环保局(epa)列为首选检测污染物。欧盟也将dbp、bbp、dehp、dnop、dinp(二异壬酯)、didp(二异癸酯)等6种认定为对人体和环境有害的物质,并规定总检出量必须低于0.1%。同时,paes增塑剂还是一类“内分泌干扰素”,会使生物体内(包括人类)的内分泌失调,出现生殖病变,还可以引起动物肝组织癌变。被列为“内分泌干扰素”的邻二甲酸酯共有8个,都是作为增塑剂使用,它们是: dehp、bbp、dbp、dchp(二环己酯)、dep、dnpp(二正戊酯)、dhp(二己酯)、dpp(二丙酯)。
1.气相色谱法
gc法主要是用hp-5或db-17ht熔融石英毛细管柱分离paes化合物,对大多数化合物有较好的分离,能够满足分析的要求,但对于碳原子数较多的异构体化合物(如邻二甲酸二异壬酯dinp、二异癸酯didp等)分离效果较差,峰形重叠,检出限较高,影响了准确的定性和定量,不适合于痕量分析。gc-ms因其结合了定性和定量的双重功能得到了广泛地应用,尤其是采用选择离子方式(sim)更是提高了灵敏度,降低了检出限。
2.液相色谱法
hplc-uv法多采用c8或c18色谱柱,以甲醇-水或乙腈-水作为流动相进行反相梯度洗脱;电喷雾离子化lc-ms技术在paes的测定中可通过特征离子对c6-c10异构体混合物进行定量,解决了gc-ms法分离异构体混合物时出现的分辨率较低,异构体基团间保留时间重叠的问题,但在分离单组分化合物时gc-ms的检出限要低于lc-ms。
主要参考资料
[1] 刘磊力, 洪望荪. 邻二甲酸二环己酯合成工艺研究[j]. 山东化工, 2003, 32(6): 6-7.
[2] 胡应喜, 刘霞, 陈赤阳. 酯交换法合成邻二甲酸二环己酯[d]. , 2005.
[3] 李嘉,一种包装用抗老化ps膜及其制备方法,cn 201510880462,申请日2015-12-03
[4] 陈金土,一种新型机织物用快干颜料,cn 201510225187,申请日2015-05-05
[5] 陈龙,匡民,马孝燕,一种含有邻二甲酸二环己酯的导电银铝浆,cn 201210527081,申请日2012-12-10
[6] 房丽萍, 牛增元, 蔡发, 等. 邻二甲酸酯类增塑剂分析方法进展[d]. , 2005.



