背景及概述[1]
2-羟基-4,5-二甲氧基甲酸酯是合成2-氨基噻唑类化合物的重要中间体。2-氨基噻唑类化合物是有机药物化学中重要的一类杂环化合物,具有广泛的生物活性,可用作局麻药,具有抗惊厥、抗病毒、抗菌和杀虫等作用。
制备[1]

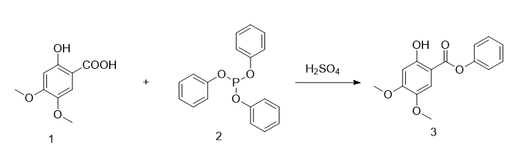
2-羟基-4,5-二甲氧基甲酸酯制备如下:
反应体系在氮气保护下,向反应器中依次加入溶剂170g,亚磷酸三酯(化合物2)266g(0.86mol),2-羟基-4,5-二甲氧基甲酸(化合物1)170g(0.86mol)和浓(98wt%)4.5ml,加热回流(110℃)3小时。反应完毕后降温至20℃,向反应体系中滴加甲醇566g,搅拌30min,然后滴加水283g,搅拌30min,过滤,水洗得粗品2-羟基-4,5-二甲氧基甲酸酯230g,所得粗品用乙醇打浆洗涤,干燥后得203g纯品2-羟基-4,5-二甲氧基甲酸酯(产率86.3%)。所得2-羟基-4,5-二甲氧基甲酸酯的产物结构中含有七组氢原子,且其化学位移与产品结构吻合,化学位移在3.78ppm处的单峰为4位och3的h峰,3.86ppm处的单峰为5位och3的h峰,6.67ppm处的单峰为3位ch的h峰,7.32ppm处的四重峰为1位甲酸酯的1’,3’和5’位ch的h峰,7.40ppm处的单峰为6位ch的h峰,7.51ppm处的三重峰为1位甲酸酯的2’和4’位ch的h峰,10.30ppm处的单峰为2位oh的h峰。
主要参考资料
[1] cn201310466403.0一种2-羟基-4,5-二甲氧基甲酸酯的合成方法



