背景及概述[1]
并呋喃-6-羧酸,又叫6-羧酸并呋喃,属于并呋喃类化合物。该类化合物有多种良好的生理活性,具有抗肿瘤、抗菌、抗氧化等作用,受到广泛关注。
制备[1]

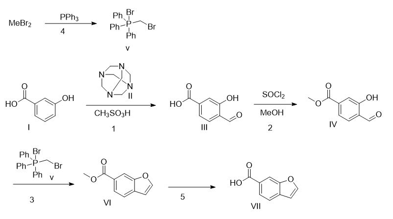
1、洁净的反应釜中加入化合物ⅰ(200kg,1450mol,1.0eq)与甲磺酸(1000l),搅拌混合。向反应瓶中分批次加入化合物ⅱ(305kg,2170mol,1.5eq),控制反应温度在80℃以内,加料完毕后,80℃加热,搅拌反应3小时。tlc分析原料消耗完毕。反应液降温至50℃,加入1500l纯水,加水完毕室温搅拌1小时。使用ea:meoh(10:1)(500lx6)萃取产品,合并有机相,饱和食盐水洗涤(300lx2)。无水钠(20kg)干燥并过滤除去钠。有机相使用10%naoh水溶液萃取(300lx4),合并水相,水相使用浓盐酸调节ph值3~4左右。过滤固体,得到湿品。45℃真空抽干得到化合物ⅲ,白色粉末状固体(138.4kg,收率:60%,纯度:94.2%)。1hnmr(400mhz,dmso-d6):δ11.54(s,1h),10.29(s,1h),8.30(s,1h),7.65(d,j=9.4hz,1h),6.80(d,j=8.7hz,1h)。
2、反应瓶中加入化合物ⅲ(10kg,60mol,1.0eq)与meoh(100l),然后缓慢加入氯化亚砜(14.32kg,120mol,2.0eq),升温至60℃反应3小时。tlc分析反应完全。反应液浓缩。加入100lea溶解,100l纯水洗涤,无水钠(1kg)干燥并过滤。有机相浓缩,得淡黄色固体化合物ⅳ(10.6kg,收率:96%,纯度:69.1%)。1hnmr(400mhz,dmso-d6):δ11.05(s,1h),10.37(s,1h),7.75(d,j=8.0hz,1h),7.58(s,1h),7.48(d,j=8.0hz),3.87(s,3h)。
3、反应釜中加入化合物ⅳ(8.0kg,44.41mol,1.0eq)、化合物ⅴ(29.05kg,66.61mol,1.5eq)和thf(80l),氮气保护。降温至0℃,向反应釜中滴加叔丁醇钾(8.26kg,73.61mol,1.65eq)的thf溶液(1m),控温0~5℃,搅拌30min,继续向反应釜中滴加叔丁醇钾(2.70kg,24.06mol,0.54eq)thf溶液(1m)控温0~5℃,搅拌1小时。tlc分析原料消耗完毕,向反应液中加入200l石油醚淬灭反应。接着加入200l石油醚,过滤不溶物。浓缩得油状液体,使用200l石油醚分散,过滤反应液。滤饼使用石油醚打浆(200lx2),合并有机相,浓缩至干。继续用石油醚分散50l,过滤除去不溶物,滤饼使用石油醚(50lx3)打浆。合并有机相浓缩至干得到化合物ⅵ 15.89kg,hplc纯度达到95%,直接用于下一步反应。1hnmr(400mhz,dmso-d6):δ8.23(s,1h),10.37(s,1h),7.75(d,j=8.0hz,1h),7.58(s,1h),7.48(d,j=8.0hz,1h),3.89(s,3h)。
4、将二溴甲烷(148.5g,0.85mol,2.2eq)与三基膦(100g,0.38mol,1eq)溶于(650ml),120℃反应24h。降温,过滤,滤饼用石油醚洗,收集滤饼,旋干得到化合物ⅴ(110g,收率:44%)。
5、反应瓶中加入化合物ⅵ(15.89kg,11.04mol,1.0eq)与meoh(30l),搅拌溶解,反应液加入27.65%的naoh水溶液(9l),室温搅拌1小时,tlc分析原料消耗完毕。使用20l水稀释反应液,使用20l dcm洗涤反应液,水相使用浓盐酸调节ph值2~3,过滤固体成分,45℃抽干得白色固体化合物ⅶ即并呋喃-6-羧酸(2.66kg,收率:33%)。1hnmr(400mhz,dmso-d6)δ8.19(s,1h),8.12(s,1h),7.87(d,j=9.2hz,1h),7.76(d,j=8.0hz,1h),7.07(s,1h)。
主要参考资料
[1][中国发明]cn201910992537.3并呋喃衍生物的制备方法



