背景及概述[1]
4-[(4-羟基-2-嘧啶基)氨基]腈可用作有机合成中间体和医药中间体,可用于实验室有机合成过程和化工医药研发过程中。
制备[1]
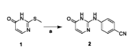
方法1:4-[(4-羟基-2-嘧啶基)氨基]腈制备如下:

称取2-(甲硫基)嘧啶-4(3h)-酮(3g,21mmol)和4-氨基甲腈(2.99g,25mmol)于50ml圆底烧瓶,氮气保护,缓慢升温到180℃,反应8h。反应冷却后,加入20ml乙腈超声处理,过滤,滤饼用乙腈洗涤,tlc检测无4-氨基甲腈残留,干燥滤饼得到淡黄色固体即为4-((4-氧代-1,6-二氢嘧啶-2-基)氨基)甲腈,产率73.6%。
方法2:4-[(4-羟基-2-嘧啶基)氨基]腈制备如下:

1)式ii化合物的合成
将1000g甲酰(r为乙基的式v化合物)用5l甲醇稀释,降温,缓慢滴入硫甲基异硫脲510g的乙醇3l溶液,5℃反应3h。减压浓缩至干,残留物用热水溶解、醋酸酸化至ph=4,冷却后析出固体,过滤,滤饼用水洗涤,用水重结晶得米黄色针状晶体764g,收率:94.9%,即式ii化合物;
2)式iii化合物的合成
将1kg式ii化合物和对氨基氰692g加入到8l吡啶中,加热至110℃,反应8h,降温至0~5℃,搅拌析晶10h,过滤,甲醇洗涤,得淡黄色固体1206g,收率,97%,即式iii化合物;
3)式i化合物的合成
将式iii化合物1kg加入10l中,加入40%的溴化氢溶液2.8kg,加热至100℃,反应6~8h,减压蒸馏除,降温至室温,倒入冰水中,用氢氧化钠水溶液中和至中性,过滤,得粗品,用四氢呋喃重结晶,得白色固体1211.7g,收率93.5%,即式i化合物4-[(4-羟基-2-嘧啶基)氨基]腈,hplc检测其纯度为99.7%。
主要参考资料
[1] cn109369623-一种取代1,2,3三氮唑类二芳基嘧啶衍生物及其制备方法与应用
[2] cn107162987-一种利匹韦林的工业化合成方法及中间体化合物



